• 文献检索
  • 文档翻译
  • 深度研究
  • 学术资讯
  • Suppr Zotero 插件Zotero 插件
  • 邀请有礼
  • 套餐&价格
  • 历史记录
应用&插件
Suppr Zotero 插件Zotero 插件浏览器插件Mac 客户端Windows 客户端微信小程序
定价
高级版会员购买积分包购买API积分包
服务
文献检索文档翻译深度研究API 文档MCP 服务
关于我们
关于 Suppr公司介绍联系我们用户协议隐私条款
关注我们

Suppr 超能文献

核心技术专利:CN118964589B侵权必究
粤ICP备2023148730 号-1Suppr @ 2026

文献检索

告别复杂PubMed语法,用中文像聊天一样搜索,搜遍4000万医学文献。AI智能推荐,让科研检索更轻松。

立即免费搜索

文件翻译

保留排版,准确专业,支持PDF/Word/PPT等文件格式,支持 12+语言互译。

免费翻译文档

深度研究

AI帮你快速写综述,25分钟生成高质量综述,智能提取关键信息,辅助科研写作。

立即免费体验

封装于聚乳酸-乙醇酸共聚物(PLGA)纳米颗粒中的G17和G19肽对O157:H7和耐甲氧西林金黄色葡萄球菌(MRSA)具有强效且特异的抗菌活性。

Potent and Specific Antibacterial Activity against O157:H7 and Methicillin Resistant (MRSA) of G17 and G19 Peptides Encapsulated into Poly-Lactic-Co-Glycolic Acid (PLGA) Nanoparticles.

作者信息

Gómez-Sequeda Nicolás, Ruiz Jennifer, Ortiz Claudia, Urquiza Mauricio, Torres Rodrigo

机构信息

Grupo de Investigación en Bioquímica y Microbiología (GIBIM), Universidad Industrial de Santander, Bucaramanga 680002, Colombia.

Escuela de Microbiología, Facultad de Salud, Universidad Industrial de Santander, Bucaramanga 680002, Colombia.

出版信息

Antibiotics (Basel). 2020 Jul 7;9(7):384. doi: 10.3390/antibiotics9070384.

DOI:10.3390/antibiotics9070384
PMID:32645834
原文链接:https://pmc.ncbi.nlm.nih.gov/articles/PMC7400247/
Abstract

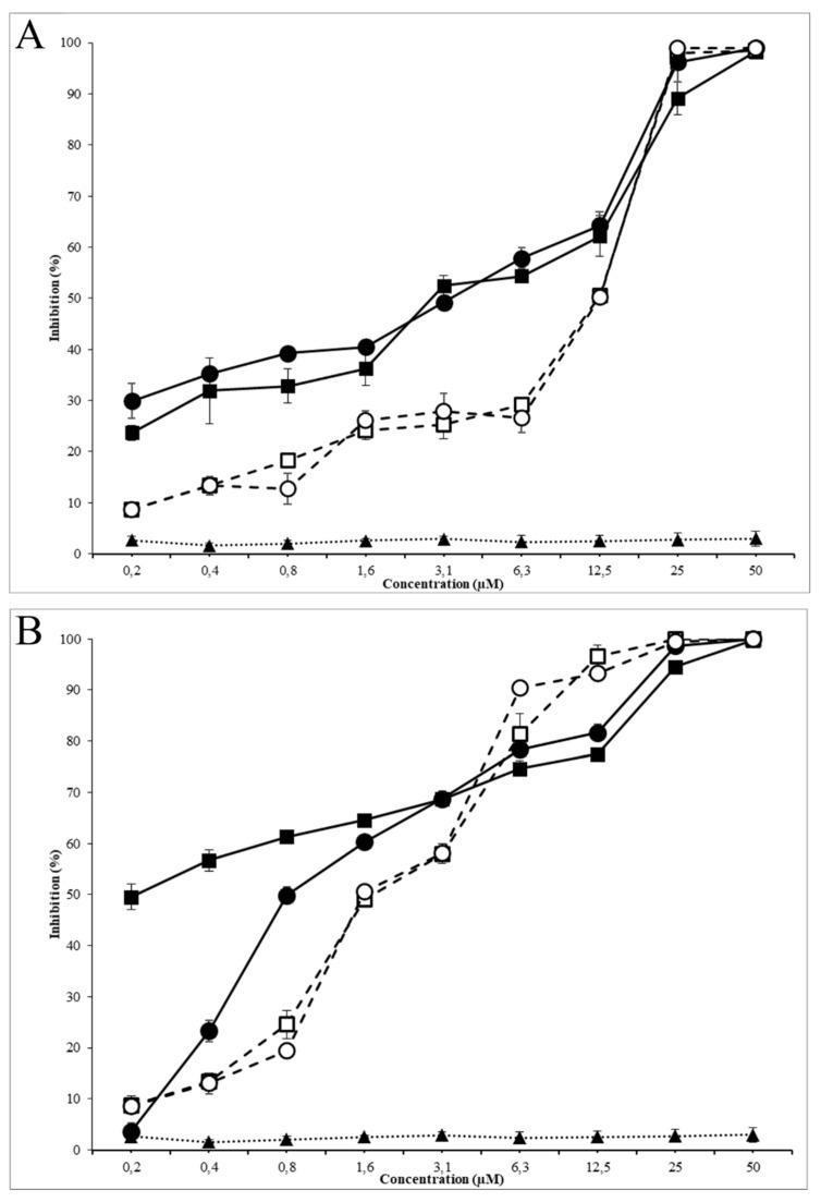
Antimicrobial peptides constitute an excellent alternative against conventional antibiotics because of their potent antimicrobial spectrum, unspecific action mechanism and low capacity to produce antibiotic resistance. However, a potential use of these biological molecules as therapeutic agents is threatened by their low stability and susceptibility to proteases. In order to overcome these limitations, encapsulation in biocompatible polymers as poly-lactic-glycolic-acid (PLGA) is a promising alternative for increasing their stability and bioavailability. In this work, the effect of new synthetic antimicrobial peptides GIBIM-P5S9K (G17) and GAM019 (G19) encapsulated on PLGA and acting against methicillin resistant (MRSA) and O157:H7 was studied. PLGA encapsulation allowed us to load around 7 µg AMPs/mg PLGA with an efficiency of 90.5%, capsule sizes around 290 nm and positive charges. Encapsulation improved antimicrobial activity, decreasing MIC50 from 1.5 to 0.2 (G17NP) and 0.7 (G19NP) µM against MRSA, and from 12.5 to 3.13 µM for O157:H7. Peptide loaded nanoparticles could be a bacteriostatic drug with potential application to treat these bacterial O157:H7 and MRSA infections, with a slow and gradual release.

摘要

抗菌肽因其强大的抗菌谱、非特异性作用机制以及产生抗生素耐药性的能力较低,成为传统抗生素的极佳替代品。然而,这些生物分子作为治疗剂的潜在用途受到其低稳定性和对蛋白酶敏感性的威胁。为了克服这些限制,将其封装在生物相容性聚合物如聚乳酸 - 乙醇酸(PLGA)中是提高其稳定性和生物利用度的一种有前景的替代方法。在这项工作中,研究了封装在PLGA中的新型合成抗菌肽GIBIM - P5S9K(G17)和GAM019(G19)对耐甲氧西林金黄色葡萄球菌(MRSA)和O157:H7的作用。PLGA封装使我们能够以90.5%的效率在每毫克PLGA中负载约7μg抗菌肽,胶囊尺寸约为290nm且带正电荷。封装提高了抗菌活性,针对MRSA,MIC50从1.5降至0.2(G17NP)和0.7(G19NP)μM,针对O157:H7从12.5降至3.13μM。负载肽的纳米颗粒可能是一种具有抑菌作用的药物,有潜力用于治疗这些O157:H7和MRSA细菌感染,并具有缓慢且逐渐释放的特性。

https://cdn.ncbi.nlm.nih.gov/pmc/blobs/8a4c/7400247/d60ceb8a4f6b/antibiotics-09-00384-g005.jpg
https://cdn.ncbi.nlm.nih.gov/pmc/blobs/8a4c/7400247/21eb10113dbb/antibiotics-09-00384-g001.jpg
https://cdn.ncbi.nlm.nih.gov/pmc/blobs/8a4c/7400247/826c0b0f505b/antibiotics-09-00384-g002.jpg
https://cdn.ncbi.nlm.nih.gov/pmc/blobs/8a4c/7400247/05ee45e8a7fc/antibiotics-09-00384-g003.jpg
https://cdn.ncbi.nlm.nih.gov/pmc/blobs/8a4c/7400247/1eb860db7546/antibiotics-09-00384-g004.jpg
https://cdn.ncbi.nlm.nih.gov/pmc/blobs/8a4c/7400247/d60ceb8a4f6b/antibiotics-09-00384-g005.jpg
https://cdn.ncbi.nlm.nih.gov/pmc/blobs/8a4c/7400247/21eb10113dbb/antibiotics-09-00384-g001.jpg
https://cdn.ncbi.nlm.nih.gov/pmc/blobs/8a4c/7400247/826c0b0f505b/antibiotics-09-00384-g002.jpg
https://cdn.ncbi.nlm.nih.gov/pmc/blobs/8a4c/7400247/05ee45e8a7fc/antibiotics-09-00384-g003.jpg
https://cdn.ncbi.nlm.nih.gov/pmc/blobs/8a4c/7400247/1eb860db7546/antibiotics-09-00384-g004.jpg
https://cdn.ncbi.nlm.nih.gov/pmc/blobs/8a4c/7400247/d60ceb8a4f6b/antibiotics-09-00384-g005.jpg

相似文献

1
Potent and Specific Antibacterial Activity against O157:H7 and Methicillin Resistant (MRSA) of G17 and G19 Peptides Encapsulated into Poly-Lactic-Co-Glycolic Acid (PLGA) Nanoparticles.封装于聚乳酸-乙醇酸共聚物(PLGA)纳米颗粒中的G17和G19肽对O157:H7和耐甲氧西林金黄色葡萄球菌(MRSA)具有强效且特异的抗菌活性。
Antibiotics (Basel). 2020 Jul 7;9(7):384. doi: 10.3390/antibiotics9070384.
2
Antimicrobial activity of a new synthetic peptide loaded in polylactic acid or poly(lactic-co-glycolic) acid nanoparticles against Pseudomonas aeruginosa, Escherichia coli O157:H7 and methicillin resistant Staphylococcus aureus (MRSA).新型合成肽负载于聚乳酸或聚乳酸-共-羟基乙酸纳米粒的抗铜绿假单胞菌、大肠杆菌 O157:H7 和耐甲氧西林金黄色葡萄球菌 (MRSA) 的抗菌活性。
Nanotechnology. 2017 Mar 1;28(13):135102. doi: 10.1088/1361-6528/aa5f63.
3
Design of Bactericidal Peptides Against Escherichia coli O157:H7, Pseudomonas aeruginosa and methicillin-resistant Staphylococcus aureus.针对大肠杆菌O157:H7、铜绿假单胞菌和耐甲氧西林金黄色葡萄球菌的杀菌肽设计
Med Chem. 2018;14(7):741-752. doi: 10.2174/1573406414666180508120024.
4
A New Synthetic Peptide with In vitro Antibacterial Potential Against Escherichia coli O157:H7 and Methicillin-Resistant Staphylococcus aureus (MRSA).一种具有体外抗大肠杆菌 O157:H7 和耐甲氧西林金黄色葡萄球菌(MRSA)活性的新型合成肽。
Probiotics Antimicrob Proteins. 2016 Sep;8(3):134-40. doi: 10.1007/s12602-016-9219-9.
5
[Synthesis of antibiotic loaded polylactic acid nanoparticles and their antibacterial activity against Escherichia coli O157:H7 and methicillin-resistant Staphylococcus aureus].载抗生素聚乳酸纳米颗粒的合成及其对大肠杆菌O157:H7和耐甲氧西林金黄色葡萄球菌的抗菌活性
Biomedica. 2017 Jan 24;37(1):11-21. doi: 10.7705/biomedica.v37i1.2995.
6
New Synthetic Peptides Conjugated to Gold Nanoclusters: Antibiotic Activity Against Escherichia coli O157:H7 and Methicillin-Resistant Staphylococcus aureus (MRSA).新型金纳米簇偶联合成肽:对大肠杆菌 O157:H7 和耐甲氧西林金黄色葡萄球菌(MRSA)的抗生素活性。
Protein J. 2019 Oct;38(5):506-514. doi: 10.1007/s10930-019-09840-9.
7
Antimicrobial and Antibiofilm Activities of Essential Oils against O157:H7 and Methicillin-Resistant (MRSA).精油对O157:H7和耐甲氧西林金黄色葡萄球菌(MRSA)的抗菌及抗生物膜活性
Antibiotics (Basel). 2020 Oct 24;9(11):730. doi: 10.3390/antibiotics9110730.
8
Antimicrobial Activity of Azithromycin Encapsulated into PLGA NPs: A Potential Strategy to Overcome Efflux Resistance.包裹于聚乳酸-羟基乙酸共聚物纳米粒中的阿奇霉素的抗菌活性:一种克服外排耐药性的潜在策略。
Antibiotics (Basel). 2022 Nov 14;11(11):1623. doi: 10.3390/antibiotics11111623.
9
Impact of sodium lactate, encapsulated or unencapsulated polyphosphates and their combinations on Salmonella Typhimurium, Escherichia coli O157:H7 and Staphylococcus aureus growth in cooked ground beef.包埋或未包埋聚磷酸盐及其组合对烹调碎牛肉中鼠伤寒沙门氏菌、大肠杆菌 O157:H7 和金黄色葡萄球菌生长的影响。
Int J Food Microbiol. 2020 May 16;321:108560. doi: 10.1016/j.ijfoodmicro.2020.108560. Epub 2020 Feb 11.
10
Targeted delivery of rifaximin using P6.2-decorated bifunctional PLGA nanoparticles for combating Staphylococcus aureus infections.采用 P6.2 修饰的双功能 PLGA 纳米粒靶向递送达托霉素用于治疗金黄色葡萄球菌感染。
Biomater Adv. 2024 Jul;161:213862. doi: 10.1016/j.bioadv.2024.213862. Epub 2024 Apr 16.

引用本文的文献

1
Antimicrobial Peptides: Mechanisms, Applications, and Therapeutic Potential.抗菌肽:作用机制、应用及治疗潜力
Infect Drug Resist. 2025 Aug 27;18:4385-4426. doi: 10.2147/IDR.S514825. eCollection 2025.
2
Forging a New Frontier: Antimicrobial Peptides and Nanotechnology Converging to Conquer Gastrointestinal Pathogens.开拓新领域:抗菌肽与纳米技术融合以攻克胃肠道病原体
Small. 2025 Jul;21(26):e2501431. doi: 10.1002/smll.202501431. Epub 2025 May 19.
3
Health Benefits, Applications, and Analytical Methods of Freshly Produced Allyl Isothiocyanate.

本文引用的文献

1
Poly(lactide- co-glycolide) Nanoparticles for Prolonged Therapeutic Efficacy of Esculentin-1a-Derived Antimicrobial Peptides against Pseudomonas aeruginosa Lung Infection: in Vitro and in Vivo Studies.聚(丙交酯-共-乙交酯)纳米粒延长艾沙菌素 1a 衍生抗菌肽抗铜绿假单胞菌肺部感染的治疗效果:体外和体内研究。
Biomacromolecules. 2019 May 13;20(5):1876-1888. doi: 10.1021/acs.biomac.8b01829. Epub 2019 Apr 23.
2
Clinical Application of AMPs.抗菌肽的临床应用。
Adv Exp Med Biol. 2019;1117:281-298. doi: 10.1007/978-981-13-3588-4_15.
3
Design of Bactericidal Peptides Against Escherichia coli O157:H7, Pseudomonas aeruginosa and methicillin-resistant Staphylococcus aureus.
新鲜制备的异硫氰酸烯丙酯的健康益处、应用及分析方法
Foods. 2025 Feb 10;14(4):579. doi: 10.3390/foods14040579.
4
Recent Advances in Peptide-Loaded PLGA Nanocarriers for Drug Delivery and Regenerative Medicine.用于药物递送和再生医学的载肽PLGA纳米载体的最新进展
Pharmaceuticals (Basel). 2025 Jan 18;18(1):127. doi: 10.3390/ph18010127.
5
Genome-Guided Identification and Characterisation of Broad-Spectrum Antimicrobial Compounds of Bacillus velezensis Strain PD9 Isolated from Stingless Bee Propolis.基于基因组引导的从无刺蜂蜂胶中分离的贝莱斯芽孢杆菌菌株PD9的广谱抗菌化合物的鉴定与表征
Probiotics Antimicrob Proteins. 2025 Jan 16. doi: 10.1007/s12602-025-10451-3.
6
A small antimicrobial peptide derived from a Burkholderia bacterium exhibits a broad-spectrum and high inhibiting activities against crop diseases.一种源自伯克霍尔德氏菌的小抗菌肽对作物病害具有广谱且高效的抑制活性。
Plant Biotechnol J. 2025 Feb;23(2):430-441. doi: 10.1111/pbi.14506. Epub 2024 Nov 13.
7
Antimicrobial Peptide Octoprohibitin-Encapsulated Chitosan Nanoparticles Enhanced Antibacterial Activity against .抗菌肽八禁止素包裹的壳聚糖纳米颗粒增强了对……的抗菌活性。
Pharmaceutics. 2024 Sep 25;16(10):1245. doi: 10.3390/pharmaceutics16101245.
8
Design methods for antimicrobial peptides with improved performance.具有改进性能的抗菌肽的设计方法。
Zool Res. 2023 Nov 18;44(6):1095-1114. doi: 10.24272/j.issn.2095-8137.2023.246.
9
Effect of poly (lactic-co-glycolic acid) polymer nanoparticles loaded with vancomycin against Staphylococcus aureus biofilm.载万古霉素聚乳酸-共-羟基乙酸共聚物纳米粒对金黄色葡萄球菌生物膜的影响。
BMC Biotechnol. 2023 Sep 18;23(1):39. doi: 10.1186/s12896-023-00811-8.
10
Effect of Essential Oil from on the Transcriptional Expression of Genes Related to Quorum Sensing, Biofilm Formation, and Virulence of and .[植物名称]精油对[细菌名称1]和[细菌名称2]群体感应、生物膜形成及毒力相关基因转录表达的影响
Antibiotics (Basel). 2023 May 3;12(5):845. doi: 10.3390/antibiotics12050845.
针对大肠杆菌O157:H7、铜绿假单胞菌和耐甲氧西林金黄色葡萄球菌的杀菌肽设计
Med Chem. 2018;14(7):741-752. doi: 10.2174/1573406414666180508120024.
4
Preliminary Incidence and Trends of Infections with Pathogens Transmitted Commonly Through Food - Foodborne Diseases Active Surveillance Network, 10 U.S. Sites, 2006-2017.通过食物常见传播病原体感染的初步发病率及趋势——食源性疾病主动监测网络,美国10个监测点,2006 - 2017年
MMWR Morb Mortal Wkly Rep. 2018 Mar 23;67(11):324-328. doi: 10.15585/mmwr.mm6711a3.
5
Nanomaterials for alternative antibacterial therapy.用于替代抗菌疗法的纳米材料。
Int J Nanomedicine. 2017 Nov 10;12:8211-8225. doi: 10.2147/IJN.S132163. eCollection 2017.
6
Fabrication of Antimicrobial Peptide-Loaded PLGA/Chitosan Composite Microspheres for Long-Acting Bacterial Resistance.载抗菌肽的 PLGA/壳聚糖复合微球的制备及其长效抗菌性能
Molecules. 2017 Sep 29;22(10):1637. doi: 10.3390/molecules22101637.
7
Synergistic interactions between antimicrobial peptides derived from plectasin and lipid nanocapsules containing monolaurin as a cosurfactant against .源自plectasin的抗菌肽与含有月桂酸单甘油酯作为辅助表面活性剂的脂质纳米胶囊之间针对……的协同相互作用。
Int J Nanomedicine. 2017 Aug 8;12:5687-5699. doi: 10.2147/IJN.S139625. eCollection 2017.
8
Synthesis, characterization, and in vitro activity against spp. of fluconazole encapsulated on cationic and conventional nanoparticles of poly(lactic-co-glycolic acid).聚乳酸-乙醇酸共聚物阳离子和传统纳米颗粒包封的氟康唑的合成、表征及其对 spp. 的体外活性。
Nanotechnol Sci Appl. 2017 May 16;10:95-104. doi: 10.2147/NSA.S96018. eCollection 2017.
9
Antimicrobial activity of a new synthetic peptide loaded in polylactic acid or poly(lactic-co-glycolic) acid nanoparticles against Pseudomonas aeruginosa, Escherichia coli O157:H7 and methicillin resistant Staphylococcus aureus (MRSA).新型合成肽负载于聚乳酸或聚乳酸-共-羟基乙酸纳米粒的抗铜绿假单胞菌、大肠杆菌 O157:H7 和耐甲氧西林金黄色葡萄球菌 (MRSA) 的抗菌活性。
Nanotechnology. 2017 Mar 1;28(13):135102. doi: 10.1088/1361-6528/aa5f63.
10
The antimicrobial activity of nanoparticles: present situation and prospects for the future.纳米颗粒的抗菌活性:现状与未来展望。
Int J Nanomedicine. 2017 Feb 14;12:1227-1249. doi: 10.2147/IJN.S121956. eCollection 2017.