Suppr超能文献

电子束蒸发氧化锌薄膜的微观结构与光学性质——分解与表面解吸的影响

Microstructure and Optical Properties of E-Beam Evaporated Zinc Oxide Films-Effects of Decomposition and Surface Desorption.

作者信息

Skowronski Lukasz, Ciesielski Arkadiusz, Olszewska Aleksandra, Szczesny Robert, Naparty Mieczyslaw, Trzcinski Marek, Bukaluk Antoni

机构信息

Institute of Mathematics and Physics, UTP University of Science and Technology, Kaliskiego 7, 85-796 Bydgoszcz, Poland.

Faculty of Physics, University of Warsaw, Pasteura 5, 02-093 Warsaw, Poland.

出版信息

Materials (Basel). 2020 Aug 9;13(16):3510. doi: 10.3390/ma13163510.

Abstract

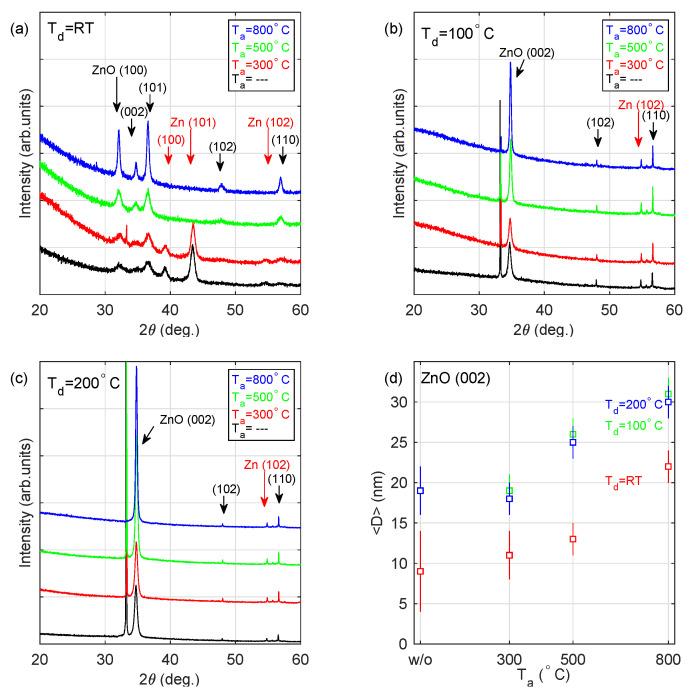
Zinc oxide films have been fabricated by the electron beam physical vapour deposition (PVD) technique. The effect of substrate temperature during fabrication and annealing temperature (carried out in ultra high vacuum conditions) has been investigated by means of atomic force microscopy, scanning electron microscopy, powder X-ray diffraction, X-ray photoelectron spectroscopy and spectroscopic ellipsometry. It was found that the layer deposited at room temperature is composed of Zn and ZnO crystallites with a number of orientations, whereas those grown at 100 and 200 ∘C consist of ZnO grains and exhibit privileged growth direction. Presented results clearly show the influence of ZnO decomposition and segregation of Zn atoms during evaporation and post-deposition annealing on microstructure and optical properties of zinc oxide films.

摘要

通过电子束物理气相沉积(PVD)技术制备了氧化锌薄膜。利用原子力显微镜、扫描电子显微镜、粉末X射线衍射、X射线光电子能谱和光谱椭偏仪研究了制备过程中衬底温度和退火温度(在超高真空条件下进行)的影响。结果发现,室温下沉积的层由具有多种取向的Zn和ZnO微晶组成,而在100和200℃下生长的层由ZnO晶粒组成,并呈现出择优生长方向。给出的结果清楚地表明了蒸发和沉积后退火过程中ZnO分解和Zn原子偏析对氧化锌薄膜微观结构和光学性能的影响。

https://cdn.ncbi.nlm.nih.gov/pmc/blobs/f747/7475817/2f813dffa675/materials-13-03510-g0A1.jpg

文献检索

告别复杂PubMed语法,用中文像聊天一样搜索,搜遍4000万医学文献。AI智能推荐,让科研检索更轻松。

立即免费搜索

文件翻译

保留排版,准确专业,支持PDF/Word/PPT等文件格式,支持 12+语言互译。

免费翻译文档

深度研究

AI帮你快速写综述,25分钟生成高质量综述,智能提取关键信息,辅助科研写作。

立即免费体验