Suppr超能文献

基于多重分形分析的中高阶煤储层吸附孔隙非均质性特征研究

Multifractal Analysis in Characterizing Adsorption Pore Heterogeneity of Middle- and High-Rank Coal Reservoirs.

作者信息

Zhang Junjian, Wei Chongtao, Chu Xuanxuan, Vandeginste Veerle, Ju Wei

机构信息

College of Earth Sciences & Engineering, Shandong University of Science and Technology, Qingdao 266590, China.

Key Laboratory of Coalbed Methane Resource & Reservoir Formation Process, Ministry of Education, China University of Mining and Technology, Xuzhou 221008, China.

出版信息

ACS Omega. 2020 Aug 3;5(31):19385-19401. doi: 10.1021/acsomega.0c01115. eCollection 2020 Aug 11.

Abstract

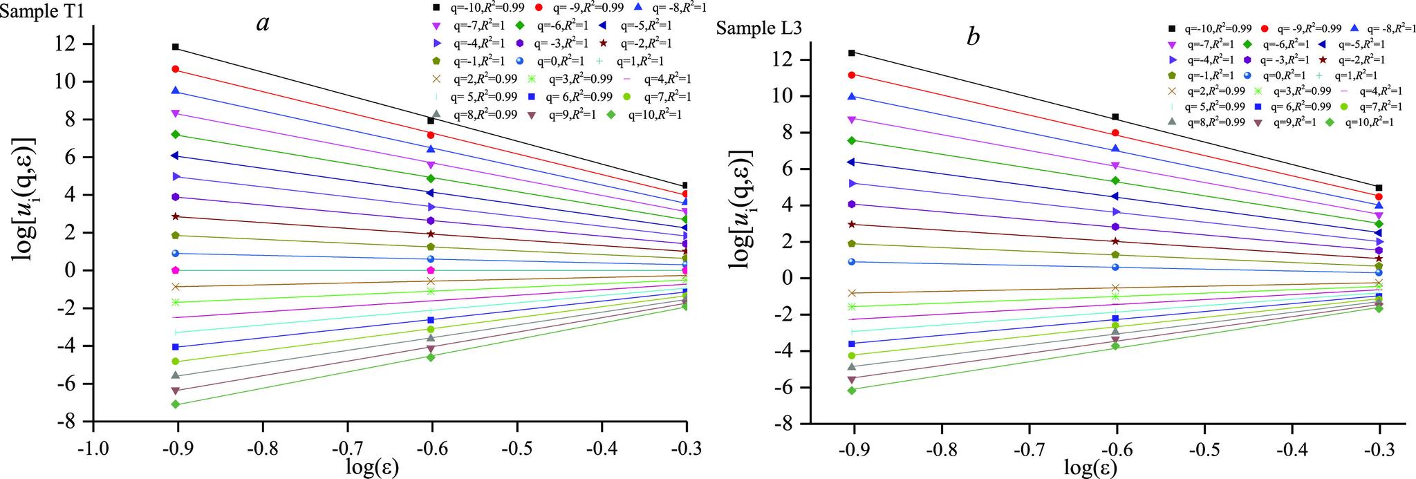
Nanopore heterogeneity has a significant effect on adsorption, desorption, and diffusion processes of coalbed methane. The adsorption pore size distribution heterogeneity was calculated by combining N with CO adsorption data, and factors affecting multifractal and single-fractal dimensions were studied. The results indicate that pore size distribution of micropores (with pore diameters smaller than 2 nm) and meso-macro-pores (with pore diameters between 2 and 100 nm) in coal samples exhibit typical multifractal behavior. The overall heterogeneity of micropores in high-rank coal samples is higher than that in the middle-rank coal samples. The low-probability measure areas control the overall heterogeneity of pores with diameters of 0.40-1.50 nm. The high-probability measure area heterogeneity and spectral width ratio have a higher linear correlation with coal rank and pore structure parameters than those of low-probability measure areas. Heterogeneity of high-probability measure areas and overall pore size distribution are controlled by pores with diameters of 0.72-0.94 nm. Multifractal parameters of meso-macro-pores have no clear relationship with coal rank. The pore volume of 2-10 nm diameter shows a good linear correlation with heterogeneity of low-probability measure areas, and pores of this diameter range are the key interval that affected pore size distribution heterogeneity. The single-fractal dimension obtained using the Frenkel-Halsey-Hill (FHH) model shows a positive linear correlation with heterogeneity of the low-probability measure areas. It indicates that this parameter can effectively characterize the pore size distribution heterogeneity of low-probability measure areas in meso-macro-pores.

摘要

纳米孔隙非均质性对煤层气的吸附、解吸和扩散过程有显著影响。结合N₂与CO₂吸附数据计算了吸附孔径分布非均质性,并研究了影响多重分形和单分形维数的因素。结果表明,煤样中微孔(孔径小于2nm)和中-大孔(孔径在2-100nm之间)的孔径分布呈现典型的多重分形行为。高阶煤样中微孔的整体非均质性高于中阶煤样。低概率测度区域控制着直径为0.40-1.50nm孔隙的整体非均质性。高概率测度区域非均质性和谱宽比与煤阶和孔隙结构参数的线性相关性高于低概率测度区域。高概率测度区域非均质性和整体孔径分布受直径为0.72-0.94nm孔隙的控制。中-大孔的多重分形参数与煤阶无明显关系。直径为2-1nm的孔隙体积与低概率测度区域非均质性呈现良好的线性相关性,该直径范围的孔隙是影响孔径分布非均质性的关键区间。利用Frenkel-Halsey-Hill(FHH)模型得到的单分形维数与低概率测度区域非均质性呈现正线性相关。这表明该参数能有效表征中-大孔中低概率测度区域的孔径分布非均质性。

https://cdn.ncbi.nlm.nih.gov/pmc/blobs/8adf/7424590/d3a6122b2b2a/ao0c01115_0001.jpg

文献检索

告别复杂PubMed语法,用中文像聊天一样搜索,搜遍4000万医学文献。AI智能推荐,让科研检索更轻松。

立即免费搜索

文件翻译

保留排版,准确专业,支持PDF/Word/PPT等文件格式,支持 12+语言互译。

免费翻译文档

深度研究

AI帮你快速写综述,25分钟生成高质量综述,智能提取关键信息,辅助科研写作。

立即免费体验