Suppr超能文献

一项评估 IqYmune 在慢性炎性脱髓鞘性多发性神经根神经病初始和维持治疗中疗效和安全性的国际多中心研究:PRISM 研究。

An international multicenter efficacy and safety study of IqYmune in initial and maintenance treatment of patients with chronic inflammatory demyelinating polyradiculoneuropathy: PRISM study.

机构信息

Neuromuscular and Neuroimmunology Service, IRCCS Humanitas Clinical and Research Center, Milan University, Via Manzoni 56, Rozzano, Milan, 20089, Italy.

LFB, Les Ulis, France.

出版信息

J Peripher Nerv Syst. 2020 Dec;25(4):356-365. doi: 10.1111/jns.12408. Epub 2020 Aug 31.

Abstract

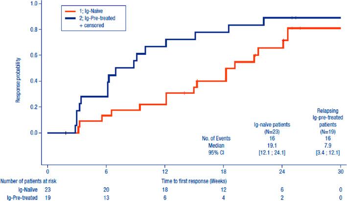
This prospective, multicenter, single-arm, open-label phase 3 study aimed to evaluate the efficacy and safety of IqYmune in patients with chronic inflammatory demyelinating polyradiculoneuropathy (CIDP). Patients received one induction dose of 2 g/kg and then seven maintenance doses of 1 g/kg at 3-week intervals. The primary endpoint was the responder rate at the end of study (EOS), defined as an improvement of ≥1 point on the adjusted inflammatory neuropathy cause and treatment (INCAT) disability scale. The responder rate was compared with the responder rate of a historical placebo group (33.3%). Secondary endpoints included changes from baseline to EOS of adjusted INCAT disability score, grip strength, Medical Research Council (MRC) sum score, Rasch-modified MRC sum score, Rasch-built overall disability scale score and the clinical global impression. Forty-two patients, including 23 Ig-naïve and 19 Ig-pre-treated, were included in the efficacy set. The overall response rate at EOS was 76.2% (95% confidence interval [60.5%-87.9%]). The superiority of IqYmune compared to the historical placebo control was demonstrated (P < .0001). The responder rate was numerically higher in Ig-pre-treated than in Ig-naïve patients but confidence intervals were overlapping (84.2% [60.4%-96.6%] vs 69.6% [47.1%-86.8%]). All secondary endpoints confirmed this conclusion. The median time to response was 15 weeks [8.9-19.1 weeks]. A total of 156 adverse events including five serious were considered related to IqYmune, 87.2% were mild. Neither hemolysis nor signs of renal or hepatic impairment were observed. These results demonstrate that IqYmune is an effective and well-tolerated treatment in patients with CIDP.

摘要

这项前瞻性、多中心、单臂、开放标签的 3 期研究旨在评估 IqYmune 在慢性炎症性脱髓鞘性多发性神经病(CIDP)患者中的疗效和安全性。患者接受 1 次 2g/kg 的诱导剂量,然后在 3 周间隔内接受 7 次 1g/kg 的维持剂量。主要终点是研究结束时(EOS)的应答率,定义为调整后的炎症性神经病病因和治疗(INCAT)残疾量表评分至少提高 1 分。应答率与历史安慰剂组(33.3%)的应答率进行比较。次要终点包括从基线到 EOS 时调整后的 INCAT 残疾评分、握力、医学研究委员会(MRC)总分、Rasch 修正 MRC 总分、Rasch 构建的整体残疾量表评分和临床总体印象的变化。42 例患者(包括 23 例 Ig 初治患者和 19 例 Ig 预处理患者)纳入疗效集。EOS 时的总应答率为 76.2%(95%置信区间[60.5%-87.9%])。与历史安慰剂对照相比,IqYmune 的优势得到了证明(P < .0001)。在 Ig 预处理患者中,应答率在数值上高于 Ig 初治患者,但置信区间重叠(84.2%[60.4%-96.6%] vs 69.6%[47.1%-86.8%])。所有次要终点都证实了这一结论。中位反应时间为 15 周[8.9-19.1 周]。共发生 156 例不良事件,包括 5 例严重不良事件,均认为与 IqYmune 有关,87.2%为轻度。未观察到溶血或肾功能或肝功能损害的迹象。这些结果表明,IqYmune 是 CIDP 患者有效且耐受良好的治疗方法。

https://cdn.ncbi.nlm.nih.gov/pmc/blobs/b193/7754365/c133364b24a9/JNS-25-356-g001.jpg

文献检索

告别复杂PubMed语法,用中文像聊天一样搜索,搜遍4000万医学文献。AI智能推荐,让科研检索更轻松。

立即免费搜索

文件翻译

保留排版,准确专业,支持PDF/Word/PPT等文件格式,支持 12+语言互译。

免费翻译文档

深度研究

AI帮你快速写综述,25分钟生成高质量综述,智能提取关键信息,辅助科研写作。

立即免费体验