Suppr超能文献

肥胖对感染严重急性呼吸综合征冠状病毒2(SARS-CoV-2)患者的重症疾病及死亡率的影响:一项系统评价与荟萃分析

The impact of obesity on severe disease and mortality in people with SARS-CoV-2: A systematic review and meta-analysis.

作者信息

Seidu Samuel, Gillies Clare, Zaccardi Francesco, Kunutsor Setor K, Hartmann-Boyce Jamie, Yates Thomas, Singh Awadhesh Kumar, Davies Melanie J, Khunti Kamlesh

机构信息

Diabetes Research Centre Leicester General Hospital University of Leicester Leicester UK.

The NIHR Applied Research Collaboration (ARC) East Midlands Leicester General Hospital University of Leicester Leicester UK.

出版信息

Endocrinol Diabetes Metab. 2020 Aug 14;4(1):e00176. doi: 10.1002/edm2.176. eCollection 2021 Jan.

Abstract

BACKGROUND

Obesity accompanied by excess ectopic fat storage has been postulated as a risk factor for severe disease in people with SARS-CoV-2 through the stimulation of inflammation, functional immunologic deficit and a pro-thrombotic disseminated intravascular coagulation with associated high rates of venous thromboembolism.

METHODS

Observational studies in COVID-19 patients reporting data on raised body mass index at admission and associated clinical outcomes were identified from MEDLINE, Embase, Web of Science and the Cochrane Library up to 16 May 2020. Mean differences and relative risks (RR) with 95% confidence intervals (CIs) were aggregated using random effects models.

RESULTS

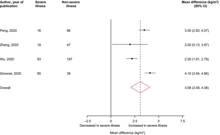
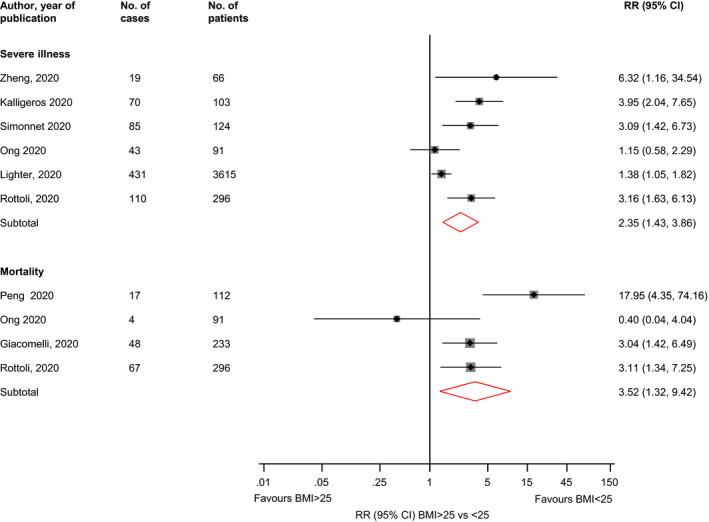
Eight retrospective cohort studies and one cohort prospective cohort study with data on of 4,920 patients with COVID-19 were eligible. Comparing BMI ≥ 25 vs <25 kg/m, the RRs (95% CIs) of severe illness and mortality were 2.35 (1.43-3.86) and 3.52 (1.32-9.42), respectively. In a pooled analysis of three studies, the RR (95% CI) of severe illness comparing BMI > 35 vs <25 kg/m was 7.04 (2.72-18.20). High levels of statistical heterogeneity were partly explained by age; BMI ≥ 25 kg/m was associated with an increased risk of severe illness in older age groups (≥60 years), whereas the association was weaker in younger age groups (<60 years).

CONCLUSIONS

Excess adiposity is a risk factor for severe disease and mortality in people with SARS-CoV-2 infection. This was particularly pronounced in people 60 and older. The increased risk of worse outcomes from SARS-CoV-2 infection in people with excess adiposity should be taken into account when considering individual and population risks and when deciding on which groups to target for public health messaging on prevention and detection measures. PROSPERO 2020: CRD42020179783.

摘要

背景

肥胖伴有异位脂肪过度储存,被认为是严重急性呼吸综合征冠状病毒2(SARS-CoV-2)感染者患重症疾病的一个风险因素,其机制为刺激炎症反应、导致功能性免疫缺陷以及引发促血栓性弥散性血管内凝血,并伴有较高的静脉血栓栓塞发生率。

方法

从MEDLINE、Embase、科学网和考科蓝图书馆中检索截至2020年5月16日的观察性研究,这些研究报告了COVID-19患者入院时体重指数升高及相关临床结局的数据。采用随机效应模型汇总平均差异和相对风险(RR)及95%置信区间(CI)。

结果

八项回顾性队列研究和一项前瞻性队列研究符合要求,共纳入4920例COVID-19患者的数据。比较体重指数(BMI)≥25与<25kg/m²,重症疾病和死亡的RR(95%CI)分别为2.35(1.43 - 3.86)和3.52(1.32 - 9.42)。在三项研究的汇总分析中,比较BMI>35与<25kg/m²时重症疾病RR(95%CI)为7.04(2.72 - 18.20)。高水平的统计异质性部分可由年龄解释;BMI≥25kg/m²在老年组(≥60岁)与重症疾病风险增加相关联,而在年轻组(<60岁)这种关联较弱。

结论

肥胖是SARS-CoV-2感染者患重症疾病和死亡的风险因素。这在60岁及以上人群中尤为明显。在考虑个体和群体风险以及决定针对哪些群体开展预防和检测措施的公共卫生宣传时,应考虑到肥胖人群感染SARS-CoV-2后不良结局风险增加的情况。国际前瞻性系统评价注册库(PROSPERO)编号:CRD42020179783 。

https://cdn.ncbi.nlm.nih.gov/pmc/blobs/51b1/7831208/3927ec818d9f/EDM2-4-e00176-g001.jpg

文献检索

告别复杂PubMed语法,用中文像聊天一样搜索,搜遍4000万医学文献。AI智能推荐,让科研检索更轻松。

立即免费搜索

文件翻译

保留排版,准确专业,支持PDF/Word/PPT等文件格式,支持 12+语言互译。

免费翻译文档

深度研究

AI帮你快速写综述,25分钟生成高质量综述,智能提取关键信息,辅助科研写作。

立即免费体验