• 文献检索
  • 文档翻译
  • 深度研究
  • 学术资讯
  • Suppr Zotero 插件Zotero 插件
  • 邀请有礼
  • 套餐&价格
  • 历史记录
应用&插件
Suppr Zotero 插件Zotero 插件浏览器插件Mac 客户端Windows 客户端微信小程序
定价
高级版会员购买积分包购买API积分包
服务
文献检索文档翻译深度研究API 文档MCP 服务
关于我们
关于 Suppr公司介绍联系我们用户协议隐私条款
关注我们

Suppr 超能文献

核心技术专利:CN118964589B侵权必究
粤ICP备2023148730 号-1Suppr @ 2026

文献检索

告别复杂PubMed语法,用中文像聊天一样搜索,搜遍4000万医学文献。AI智能推荐,让科研检索更轻松。

立即免费搜索

文件翻译

保留排版,准确专业,支持PDF/Word/PPT等文件格式,支持 12+语言互译。

免费翻译文档

深度研究

AI帮你快速写综述,25分钟生成高质量综述,智能提取关键信息,辅助科研写作。

立即免费体验

在拧入螺钉之前,可以可靠地预测人体骨骼中的剥离扭矩,最佳拧紧度在最大值的70%至80%之间。

Stripping torques in human bone can be reliably predicted prior to screw insertion with optimum tightness being found between 70% and 80% of the maximum.

作者信息

Fletcher James W A, Zderic Ivan, Gueorguiev Boyko, Richards R Geoff, Gill Harinderjit S, Whitehouse Michael R, Preatoni Ezio

机构信息

Department for Health, University of Bath, Bath, UK.

AO Research Institute Davos, Davos, Switzerland.

出版信息

Bone Joint Res. 2020 Sep 3;9(8):493-500. doi: 10.1302/2046-3758.98.BJR-2019-0318.R1. eCollection 2020 Aug.

DOI:10.1302/2046-3758.98.BJR-2019-0318.R1
PMID:32922757
原文链接:https://pmc.ncbi.nlm.nih.gov/articles/PMC7469512/
Abstract

AIMS

To devise a method to quantify and optimize tightness when inserting cortical screws, based on bone characterization and screw geometry.

METHODS

Cortical human cadaveric diaphyseal tibiae screw holes (n = 20) underwent destructive testing to firstly establish the relationship between cortical thickness and experimental stripping torque (T), and secondly to calibrate an equation to predict T. Using the equation's predictions, 3.5 mm screws were inserted (n = 66) to targeted torques representing 40% to 100% of T, with recording of compression generated during tightening. Once the target torque had been achieved, immediate pullout testing was performed.

RESULTS

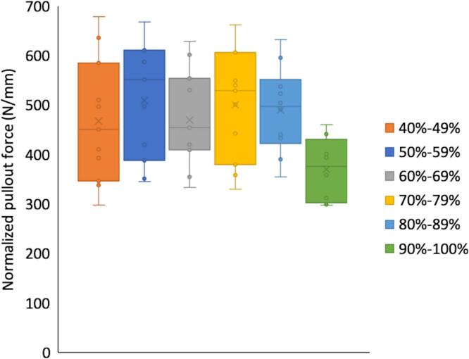
Cortical thickness predicted T (R = 0.862; p < 0.001) as did an equation based on tensile yield stress, bone-screw friction coefficient, and screw geometries (R = 0.894; p < 0.001). Compression increased with screw tightness up to 80% of the maximum (R = 0.495; p < 0.001). Beyond 80%, further tightening generated no increase in compression. Pullout force did not change with variations in submaximal tightness beyond 40% of T (R = 0.014; p = 0.175).

CONCLUSION

Screw tightening between 70% and 80% of the predicted maximum generated optimum compression and pullout forces. Further tightening did not considerably increase compression, made no difference to pullout, and increased the risk of the screw holes being stripped. While further work is needed for development of intraoperative methods for accurate and reliable prediction of the maximum tightness for a screw, this work justifies insertion torque being considerably below the maximum.Cite this article: 2020;9(8):493-500.

摘要

目的

基于骨特征和螺钉几何形状,设计一种在插入皮质骨螺钉时量化和优化拧紧程度的方法。

方法

对20个皮质骨人尸体胫骨干骺端螺钉孔进行破坏性测试,首先建立皮质骨厚度与实验剥离扭矩(T)之间的关系,其次校准一个预测T的方程。利用该方程的预测结果,以代表T的40%至100%的目标扭矩插入66枚3.5毫米螺钉,并记录拧紧过程中产生的压缩量。达到目标扭矩后,立即进行拔出测试。

结果

皮质骨厚度可预测T(R = 0.862;p < 0.001),基于拉伸屈服应力、骨 - 螺钉摩擦系数和螺钉几何形状的方程也可预测T(R = 0.894;p < 0.001)。压缩量随螺钉拧紧程度增加,直至达到最大值的80%(R = 0.495;p < 0.001)。超过80%后,进一步拧紧不会使压缩量增加。当拧紧程度超过T的40%时,亚最大拧紧程度的变化不会改变拔出力(R = 0.014;p = 0.175)。

结论

将螺钉拧紧至预测最大值的70%至80%可产生最佳的压缩力和拔出力。进一步拧紧不会显著增加压缩力,对拔出力无影响,且会增加螺钉孔被剥离的风险。虽然开发用于准确可靠预测螺钉最大拧紧程度的术中方法还需要进一步研究,但这项工作证明插入扭矩应远低于最大值。引用本文:2020;9(8):493 - 500。

https://cdn.ncbi.nlm.nih.gov/pmc/blobs/95c2/7469512/c89728c086b7/BJR-9-493-g0005.jpg
https://cdn.ncbi.nlm.nih.gov/pmc/blobs/95c2/7469512/ae42593a0995/BJR-9-493-g0001.jpg
https://cdn.ncbi.nlm.nih.gov/pmc/blobs/95c2/7469512/1b9bd0a447f2/BJR-9-493-g0002.jpg
https://cdn.ncbi.nlm.nih.gov/pmc/blobs/95c2/7469512/1807983959bd/BJR-9-493-g0003.jpg
https://cdn.ncbi.nlm.nih.gov/pmc/blobs/95c2/7469512/bca06bd3b781/BJR-9-493-g0004.jpg
https://cdn.ncbi.nlm.nih.gov/pmc/blobs/95c2/7469512/c89728c086b7/BJR-9-493-g0005.jpg
https://cdn.ncbi.nlm.nih.gov/pmc/blobs/95c2/7469512/ae42593a0995/BJR-9-493-g0001.jpg
https://cdn.ncbi.nlm.nih.gov/pmc/blobs/95c2/7469512/1b9bd0a447f2/BJR-9-493-g0002.jpg
https://cdn.ncbi.nlm.nih.gov/pmc/blobs/95c2/7469512/1807983959bd/BJR-9-493-g0003.jpg
https://cdn.ncbi.nlm.nih.gov/pmc/blobs/95c2/7469512/bca06bd3b781/BJR-9-493-g0004.jpg
https://cdn.ncbi.nlm.nih.gov/pmc/blobs/95c2/7469512/c89728c086b7/BJR-9-493-g0005.jpg

相似文献

1
Stripping torques in human bone can be reliably predicted prior to screw insertion with optimum tightness being found between 70% and 80% of the maximum.在拧入螺钉之前,可以可靠地预测人体骨骼中的剥离扭矩,最佳拧紧度在最大值的70%至80%之间。
Bone Joint Res. 2020 Sep 3;9(8):493-500. doi: 10.1302/2046-3758.98.BJR-2019-0318.R1. eCollection 2020 Aug.
2
Non-locking screw insertion: No benefit seen if tightness exceeds 80% of the maximum torque.非锁定螺钉植入:如果拧紧程度超过最大扭矩的80%,则看不到任何益处。
Clin Biomech (Bristol). 2019 Dec;70:40-45. doi: 10.1016/j.clinbiomech.2019.07.009. Epub 2019 Jul 9.
3
Variations in non-locking screw insertion conditions generate unpredictable changes to achieved fixation tightness and stripping rates.非锁定螺钉插入条件的变化会导致固定牢固度和螺钉脱出率产生不可预测的变化。
Clin Biomech (Bristol). 2020 Dec;80:105201. doi: 10.1016/j.clinbiomech.2020.105201. Epub 2020 Oct 23.
4
Surgical performance when inserting non-locking screws: a systematic review.插入非锁定螺钉时的手术操作:一项系统评价
EFORT Open Rev. 2020 Jan 29;5(1):26-36. doi: 10.1302/2058-5241.5.180066. eCollection 2020 Jan.
5
A comparison of screw insertion torque and pullout strength.螺钉旋入扭矩与拔出强度的比较。
J Orthop Trauma. 2010 Jun;24(6):374-8. doi: 10.1097/BOT.0b013e3181c4a655.
6
Screw tightness and stripping rates vary between biomechanical researchers and practicing orthopaedic surgeons.不同生物力学研究人员和骨科医生之间的螺钉拧紧扭矩和螺钉滑丝率存在差异。
J Orthop Surg Res. 2021 Oct 26;16(1):642. doi: 10.1186/s13018-021-02800-z.
7
Does maximum torque mean optimal pullout strength of screws?最大扭矩是否意味着螺钉的最佳拔出强度?
J Orthop Trauma. 2013 Apr;27(4):232-5. doi: 10.1097/BOT.0b013e318279791f.
8
Effect of screw torque level on cortical bone pullout strength.螺钉扭矩水平对皮质骨拔出强度的影响。
J Orthop Trauma. 2007 Feb;21(2):117-23. doi: 10.1097/BOT.0b013e318030261e.
9
Mechanical evaluation of a 4-mm cancellous "rescue" screw in osteoporotic cortical bone: a cadaveric study.4 毫米松质骨“救援”螺钉在骨质疏松性皮质骨中的力学评估:尸体研究。
J Orthop Trauma. 2010 Jun;24(6):379-82. doi: 10.1097/BOT.0b013e3181c29bde.
10
The biomechanical effect of artificial and human bone density on stopping and stripping torque during screw insertion.人工骨密度和人体骨密度对螺钉植入过程中制动扭矩和拧出扭矩的生物力学影响。
J Mech Behav Biomed Mater. 2013 Jun;22:146-56. doi: 10.1016/j.jmbbm.2013.03.006. Epub 2013 Mar 21.

引用本文的文献

1
Accuracy Testing of Torque Limit Determination Algorithm Intended for Smart Bone Screwdrivers.用于智能骨螺丝刀的扭矩极限确定算法的准确性测试
Sensors (Basel). 2025 Jun 21;25(13):3863. doi: 10.3390/s25133863.
2
Reducing femoral peri-implant fracture risk through optimized plate length and screw configuration - a biomechanical study.通过优化钢板长度和螺钉配置降低股骨植入物周围骨折风险——一项生物力学研究
J Orthop Surg Res. 2025 Apr 4;20(1):340. doi: 10.1186/s13018-025-05753-9.
3
Augmented screwdrivers can increase the performance of orthopaedic surgeons compared with use of normal screwdrivers.

本文引用的文献

1
Surgical performance when inserting non-locking screws: a systematic review.插入非锁定螺钉时的手术操作:一项系统评价
EFORT Open Rev. 2020 Jan 29;5(1):26-36. doi: 10.1302/2058-5241.5.180066. eCollection 2020 Jan.
2
Non-locking screw insertion: No benefit seen if tightness exceeds 80% of the maximum torque.非锁定螺钉植入:如果拧紧程度超过最大扭矩的80%,则看不到任何益处。
Clin Biomech (Bristol). 2019 Dec;70:40-45. doi: 10.1016/j.clinbiomech.2019.07.009. Epub 2019 Jul 9.
3
Screw head plugs increase the fatigue strength of stainless steel, but not of titanium, locking plates.
增强型螺丝刀可提高矫形外科医生的手术表现,优于使用普通螺丝刀。
Sci Rep. 2022 Nov 22;12(1):20076. doi: 10.1038/s41598-022-24646-z.
4
Mechanical evaluation of canine sacroiliac joint stabilization using two short screws.使用两根短螺钉对犬的荐髂关节进行稳定性的力学评估。
Vet Surg. 2022 Oct;51(7):1061-1069. doi: 10.1111/vsu.13857. Epub 2022 Aug 5.
5
Compression generated by cortical screws in an artificial bone model of an equine medial femoral condylar cyst.皮质骨螺钉在马股骨内侧髁骨囊肿人工骨模型中产生的压缩。
Vet Surg. 2022 Jul;51(5):833-842. doi: 10.1111/vsu.13814. Epub 2022 Apr 8.
6
Screw tightness and stripping rates vary between biomechanical researchers and practicing orthopaedic surgeons.不同生物力学研究人员和骨科医生之间的螺钉拧紧扭矩和螺钉滑丝率存在差异。
J Orthop Surg Res. 2021 Oct 26;16(1):642. doi: 10.1186/s13018-021-02800-z.
7
Lateral migration resistance of screw is essential in evaluating bone screw stability of plate fixation.螺钉的侧向迁移阻力在评估钢板固定的骨螺钉稳定性中至关重要。
Sci Rep. 2021 Jun 15;11(1):12510. doi: 10.1038/s41598-021-91952-3.
螺钉头塞可提高不锈钢的疲劳强度,但不能提高钛锁定钢板的疲劳强度。
Bone Joint Res. 2019 Jan 4;7(12):629-635. doi: 10.1302/2046-3758.712.BJR-2018-0083.R1. eCollection 2018 Dec.
4
In vitro investigation of friction at the interface between bone and a surgical instrument.骨与手术器械界面摩擦力的体外研究。
Proc Inst Mech Eng H. 2013 Jun;227(6):712-8. doi: 10.1177/0954411913483260. Epub 2013 Apr 4.
5
Osteoporotic hip fractures: the burden of fixation failure.骨质疏松性髋部骨折:内固定失败的负担
ScientificWorldJournal. 2013;2013:515197. doi: 10.1155/2013/515197. Epub 2013 Feb 6.
6
Predicting cancellous bone failure during screw insertion.预测螺钉插入过程中松质骨的失效。
J Biomech. 2013 Apr 5;46(6):1207-10. doi: 10.1016/j.jbiomech.2013.01.021. Epub 2013 Mar 1.
7
Mechanical evaluation of a 4-mm cancellous "rescue" screw in osteoporotic cortical bone: a cadaveric study.4 毫米松质骨“救援”螺钉在骨质疏松性皮质骨中的力学评估:尸体研究。
J Orthop Trauma. 2010 Jun;24(6):379-82. doi: 10.1097/BOT.0b013e3181c29bde.
8
Effect of screw torque level on cortical bone pullout strength.螺钉扭矩水平对皮质骨拔出强度的影响。
J Orthop Trauma. 2007 Feb;21(2):117-23. doi: 10.1097/BOT.0b013e318030261e.
9
An estimate of the worldwide prevalence and disability associated with osteoporotic fractures.对全球骨质疏松性骨折的患病率及相关残疾情况的一项评估。
Osteoporos Int. 2006 Dec;17(12):1726-33. doi: 10.1007/s00198-006-0172-4. Epub 2006 Sep 16.
10
A study of some factors which affect the strength of screws and their insertion and holding power in bone.一项关于影响螺钉强度及其在骨中植入和固定力的若干因素的研究。
J Biomech. 1968 Dec;1(4):279-302. doi: 10.1016/0021-9290(68)90023-7.