Suppr超能文献

塞内加尔 40 年来放弃珍珠粟种植及其多样性趋同。

Abandonment of pearl millet cropping and homogenization of its diversity over a 40 year period in Senegal.

机构信息

DIADE, Univ Montpellier, Institut de Recherche pour le Développement, Montpellier, France.

Centre d'Etude Régional pour l'Amélioration de l'Adaptation à la Sécheresse (CERAAS), Institut Sénégalais de Recherche Agricole (ISRA), Thiès, Senegal.

出版信息

PLoS One. 2020 Sep 14;15(9):e0239123. doi: 10.1371/journal.pone.0239123. eCollection 2020.

Abstract

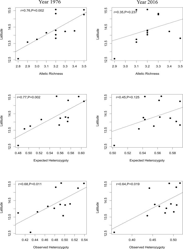
Cultivated diversity is considered an insurance against major climatic variability. However, since the 1980s, several studies have shown that climate variability and agricultural changes may already have locally eroded crop genetic diversity. We studied pearl millet diversity in Senegal through a comparison of pearl millet landraces collected 40 years apart. We found that more than 20% of villages visited in 1976 had stopped growing pearl millet. Despite this, its overall genetic diversity has been maintained but differentiation between early- and late-flowering accessions has been reduced. We also found stronger crop-to-wild gene flow than wild-to-crop gene flow and that wild-to-crop gene flow was weaker in 2016 than in 1976. In conclusion, our results highlight genetic homogenization in Senegal. This homogenization within cultivated pearl millet and between wild and cultivated forms is a key factor in genetic erosion and it is often overlooked. Improved assessment and conservation strategies are needed to promote and conserve both wild and cultivated pearl millet diversity.

摘要

栽培多样性被认为是应对主要气候变异性的一种保险。然而,自 20 世纪 80 年代以来,多项研究表明,气候变异性和农业变化可能已经使作物遗传多样性在当地受到侵蚀。我们通过比较 40 年前收集的珍珠粟地方品种,研究了塞内加尔的珍珠粟多样性。我们发现,1976 年访问的 20%以上的村庄已经停止种植珍珠粟。尽管如此,它的整体遗传多样性得到了保持,但早花和晚花品种的分化减少了。我们还发现,作物到野生的基因流比野生到作物的基因流更强,并且 2016 年的野生到作物的基因流比 1976 年弱。总之,我们的研究结果突出了塞内加尔的遗传同质化。这种栽培珍珠粟内部以及野生和栽培形式之间的同质化是遗传侵蚀的一个关键因素,但常常被忽视。需要改进评估和保护策略,以促进和保护野生和栽培珍珠粟的多样性。

https://cdn.ncbi.nlm.nih.gov/pmc/blobs/8e67/7489563/87b0ae15a1c3/pone.0239123.g001.jpg

文献检索

告别复杂PubMed语法,用中文像聊天一样搜索,搜遍4000万医学文献。AI智能推荐,让科研检索更轻松。

立即免费搜索

文件翻译

保留排版,准确专业,支持PDF/Word/PPT等文件格式,支持 12+语言互译。

免费翻译文档

深度研究

AI帮你快速写综述,25分钟生成高质量综述,智能提取关键信息,辅助科研写作。

立即免费体验