Suppr超能文献

石墨烯作为AlGaN/GaN异质结构的肖特基势垒接触

Graphene as a Schottky Barrier Contact to AlGaN/GaN Heterostructures.

作者信息

Dub Maksym, Sai Pavlo, Przewłoka Aleksandra, Krajewska Aleksandra, Sakowicz Maciej, Prystawko Paweł, Kacperski Jacek, Pasternak Iwona, Cywiński Grzegorz, But Dmytro, Knap Wojciech, Rumyantsev Sergey

机构信息

CENTERA Laboratories, Institute of High Pressure Physics PAS, ul. Sokołowska 29/37, 01-142 Warsaw, Poland.

V. E. Lashkaryov Institute of Semiconductor Physics, National Academy of Sciences of Ukraine, 41 pr. Nauki, 03680 Kyiv, Ukraine.

出版信息

Materials (Basel). 2020 Sep 17;13(18):4140. doi: 10.3390/ma13184140.

Abstract

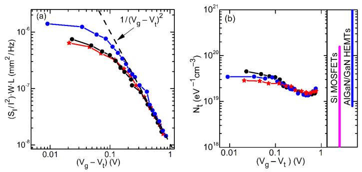
Electrical and noise properties of graphene contacts to AlGaN/GaN heterostructures were studied experimentally. It was found that graphene on AlGaN forms a high-quality Schottky barrier with the barrier height dependent on the bias. The apparent barrier heights for this kind of Schottky diode were found to be relatively high, varying within the range of φ = (1.0-1.26) eV. AlGaN/GaN fin-shaped field-effect transistors (finFETs) with a graphene gate were fabricated and studied. These devices demonstrated ~8 order of magnitude on/off ratio, subthreshold slope of ~1.3, and low subthreshold current in the sub-picoamperes range. The effective trap density responsible for the 1/f low-frequency noise was found within the range of (1-5) · 10 eV cm. These values are of the same order of magnitude as reported earlier and in AlGaN/GaN transistors with Ni/Au Schottky gate studied as a reference in the current study. A good quality of graphene/AlGaN Schottky barrier diodes and AlGaN/GaN transistors opens the way for transparent GaN-based electronics and GaN-based devices exploring vertical electron transport in graphene.

摘要

对石墨烯与AlGaN/GaN异质结构接触的电学和噪声特性进行了实验研究。发现AlGaN上的石墨烯形成了高质量的肖特基势垒,其势垒高度取决于偏置。这种肖特基二极管的表观势垒高度相对较高,在φ = (1.0 - 1.26) eV范围内变化。制备并研究了具有石墨烯栅极的AlGaN/GaN鳍式场效应晶体管(finFET)。这些器件表现出约8个数量级的开/关比、约1.3的亚阈值斜率以及亚皮安范围内的低亚阈值电流。发现导致1/f低频噪声的有效陷阱密度在(1 - 5)·10 eV cm范围内。这些值与之前报道的以及在本研究中作为参考研究的具有Ni/Au肖特基栅极的AlGaN/GaN晶体管中的值处于同一数量级。高质量的石墨烯/AlGaN肖特基势垒二极管和AlGaN/GaN晶体管为基于GaN的透明电子学以及探索石墨烯中垂直电子传输的基于GaN的器件开辟了道路。

https://cdn.ncbi.nlm.nih.gov/pmc/blobs/7b26/7560388/3d1fe24df85d/materials-13-04140-g001.jpg

文献AI研究员

20分钟写一篇综述,助力文献阅读效率提升50倍。

立即体验

用中文搜PubMed

大模型驱动的PubMed中文搜索引擎

马上搜索

文档翻译

学术文献翻译模型,支持多种主流文档格式。

立即体验