Suppr超能文献

世界卫生组织分类在韩国滤泡性甲状腺癌患者中的临床意义:一项多中心队列研究。

Clinical Implication of World Health Organization Classification in Patients with Follicular Thyroid Carcinoma in South Korea: A Multicenter Cohort Study.

机构信息

Division of Endocrinology and Metabolism, Department of Internal Medicine, Asan Medical Center, University of Ulsan College of Medicine, Seoul, Korea.

Department of Internal Medicine, Ulsan University Hospital, University of Ulsan College of Medicine, Ulsan, Korea.

出版信息

Endocrinol Metab (Seoul). 2020 Sep;35(3):618-627. doi: 10.3803/EnM.2020.742. Epub 2020 Sep 22.

Abstract

BACKGROUND

The study aimed to compare the prognostic value of the 4th edition of World Health Organization classification (WHO-2017) with the previous WHO classification (WHO-2004) for follicular thyroid carcinoma (FTC).

METHODS

This multicenter retrospective cohort study included 318 patients with FTC from five tertiary centers who underwent thyroid surgery between 1996 and 2009. We evaluated the prognosis of patients with minimally invasive (MI), encapsulated angioinvasive (EA), and widely invasive (WI) FTC according to WHO-2017. Further, we evaluated the proportion of variation explained (PVE) and Harrell's C-index to compare the predictability of disease-free survival (DFS) and disease-specific survival (DSS).

RESULTS

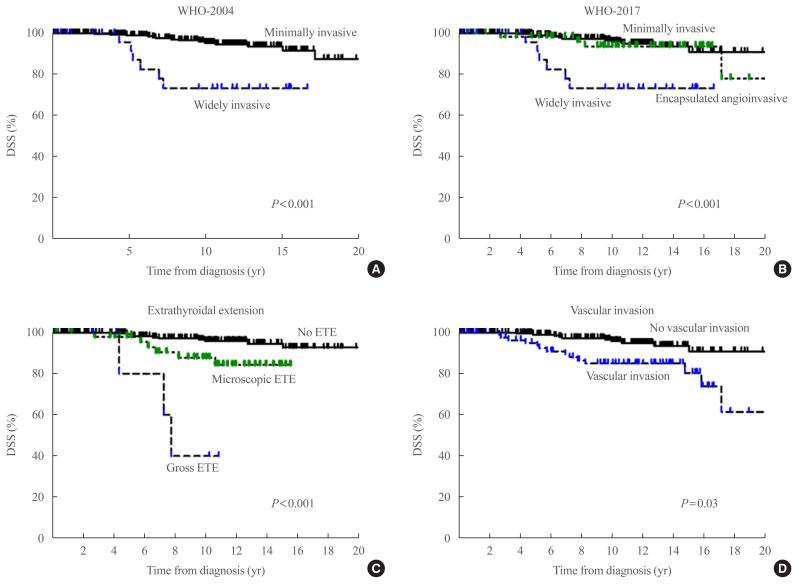
In total, 227, 58, and 33 patients had MI-, EA-, and WI-FTC, respectively. During a median follow-up of 10.6 years, 46 (14.5%) patients had disease recurrence and 20 (6.3%) patients died from FTC. The 10-year DFS rates of patients with MI-, EA-, and WI-FTC were 91.1%, 78.2%, and 54.9%, respectively (P<0.001, PVE=7.1%, C-index=0.649). The corresponding 10-year DSS rates were 95.9%, 93.5%, and 73.5%, respectively (P<0.001, PVE=2.6%, C-index=0.624). The PVE and C-index values were higher using WHO-2017 than using WHO-2004 for the prediction of DFS, but not for DSS. In multivariate analysis, older age (P=0.02), gross extrathyroidal extension (ETE) (P=0.003), and distant metastasis (P<0.001) were independent risk factors for DSS.

CONCLUSION

WHO-2017 improves the predictability of DFS, but not DSS, in patients with FTC. Distant metastasis, gross ETE and older age (≥55 years) were independent risk factors for DSS.

摘要

背景

本研究旨在比较第四版世界卫生组织分类(WHO-2017)与前一版 WHO 分类(WHO-2004)在滤泡状甲状腺癌(FTC)中的预后价值。

方法

这是一项多中心回顾性队列研究,纳入了 5 家三级中心自 1996 年至 2009 年间接受甲状腺手术的 318 例 FTC 患者。我们根据 WHO-2017 评估了微小浸润(MI)、包裹性血管侵袭(EA)和广泛浸润(WI)FTC 患者的预后。此外,我们评估了变异比例解释(PVE)和 Harrell 的 C 指数,以比较无病生存(DFS)和疾病特异性生存(DSS)的预测能力。

结果

总共,227 例、58 例和 33 例患者分别患有 MI-FTC、EA-FTC 和 WI-FTC。在中位随访 10.6 年后,46 例(14.5%)患者出现疾病复发,20 例(6.3%)患者死于 FTC。MI-FTC、EA-FTC 和 WI-FTC 患者的 10 年 DFS 率分别为 91.1%、78.2%和 54.9%(P<0.001,PVE=7.1%,C 指数=0.649)。相应的 10 年 DSS 率分别为 95.9%、93.5%和 73.5%(P<0.001,PVE=2.6%,C 指数=0.624)。与 WHO-2004 相比,使用 WHO-2017 预测 DFS 的 PVE 和 C 指数值更高,但对 DSS 没有影响。多因素分析显示,年龄较大(P=0.02)、甲状腺外广泛侵犯(ETE)(P=0.003)和远处转移(P<0.001)是 DSS 的独立危险因素。

结论

WHO-2017 提高了 FTC 患者 DFS 的预测能力,但对 DSS 没有影响。远处转移、甲状腺外广泛侵犯和年龄较大(≥55 岁)是 DSS 的独立危险因素。

https://cdn.ncbi.nlm.nih.gov/pmc/blobs/8b2b/7520579/e1a50da4b43c/enm-2020-742f1.jpg

文献AI研究员

20分钟写一篇综述,助力文献阅读效率提升50倍。

立即体验

用中文搜PubMed

大模型驱动的PubMed中文搜索引擎

马上搜索

文档翻译

学术文献翻译模型,支持多种主流文档格式。

立即体验