Bhattacharjee Debottam, Bhadra Anindita
Department of Biological Sciences, Indian Institute of Science Education and Research Kolkata, Kolkata, India.
Front Psychol. 2020 Aug 25;11:2153. doi: 10.3389/fpsyg.2020.02153. eCollection 2020.
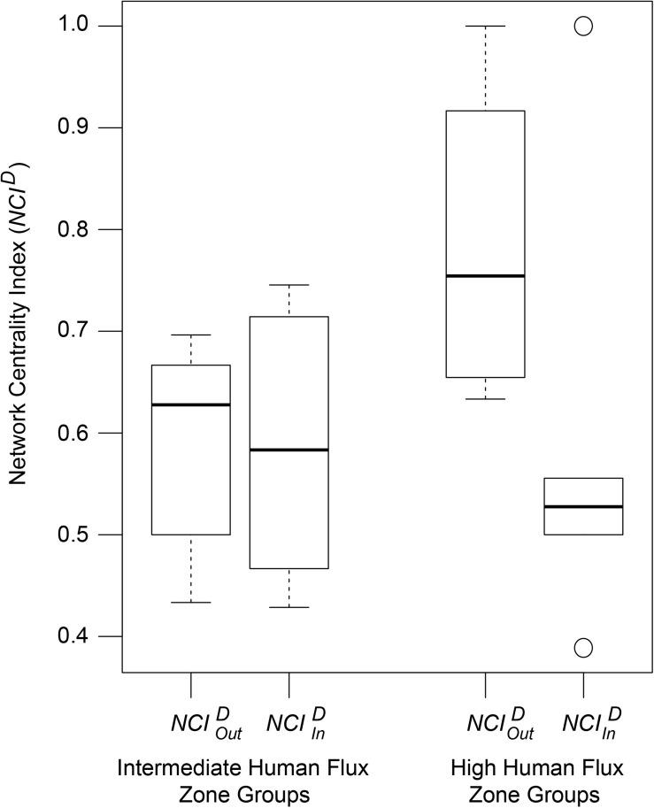
Research on human-animal interaction has skyrocketed in the last decade. Rapid urbanization has led scientists to investigate its impact on several species living in the vicinity of humans. Domesticated dogs () are one such species that interact with humans and are also called man's best friend. However, when it comes to the free-ranging population of dogs, interactions become quite complicated. Unfortunately, studies regarding free-ranging dog-human interactions are limited even though the majority of the world's dog population is free-ranging. In this study, we observed twelve groups of free-ranging dogs in their natural habitat, the streets. We quantified their interactions at the intra (dog-dog) and interspecific (dog-human) levels. The study areas were divided into two zones, namely - intermediate and high flux, based on human activity or movement. Social network analysis revealed higher instances of interspecific than intraspecific interactions, irrespective of the human flux zones. Humans, in significantly higher occasions, initiated both positive and negative behaviors in comparison to dogs. Our findings conclude that humans are a crucial part of the interaction network of Indian free-ranging dogs.
在过去十年中,关于人类与动物互动的研究急剧增加。快速的城市化促使科学家们去研究其对生活在人类附近的几种物种的影响。家养狗就是这样一种与人类互动的物种,也被称为人类最好的朋友。然而,对于自由放养的狗群来说,互动变得相当复杂。不幸的是,尽管世界上大多数狗是自由放养的,但关于自由放养的狗与人类互动的研究却很有限。在这项研究中,我们在自由放养的狗的自然栖息地——街道上观察了十二组狗。我们在种内(狗与狗之间)和种间(狗与人类之间)层面量化了它们的互动。根据人类活动或流动情况,研究区域被分为两个区域,即中等通量区和高通量区。社会网络分析表明,无论人类通量区如何,种间互动的情况都比种内互动更高。与狗相比,人类在明显更多的情况下发起了积极和消极行为。我们的研究结果表明,人类是印度自由放养的狗的互动网络的关键部分。