Biological & Environmental Sciences, Faculty of Natural Sciences, University of Stirling, Stirling FK9 4LA, UK.
Int J Environ Res Public Health. 2020 Sep 24;17(19):6999. doi: 10.3390/ijerph17196999.
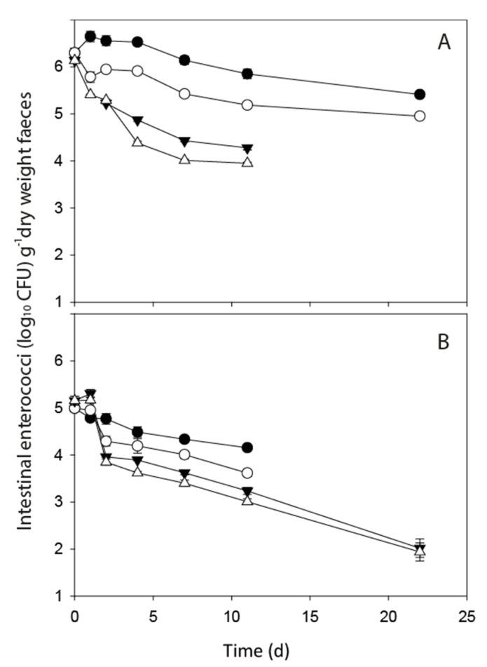
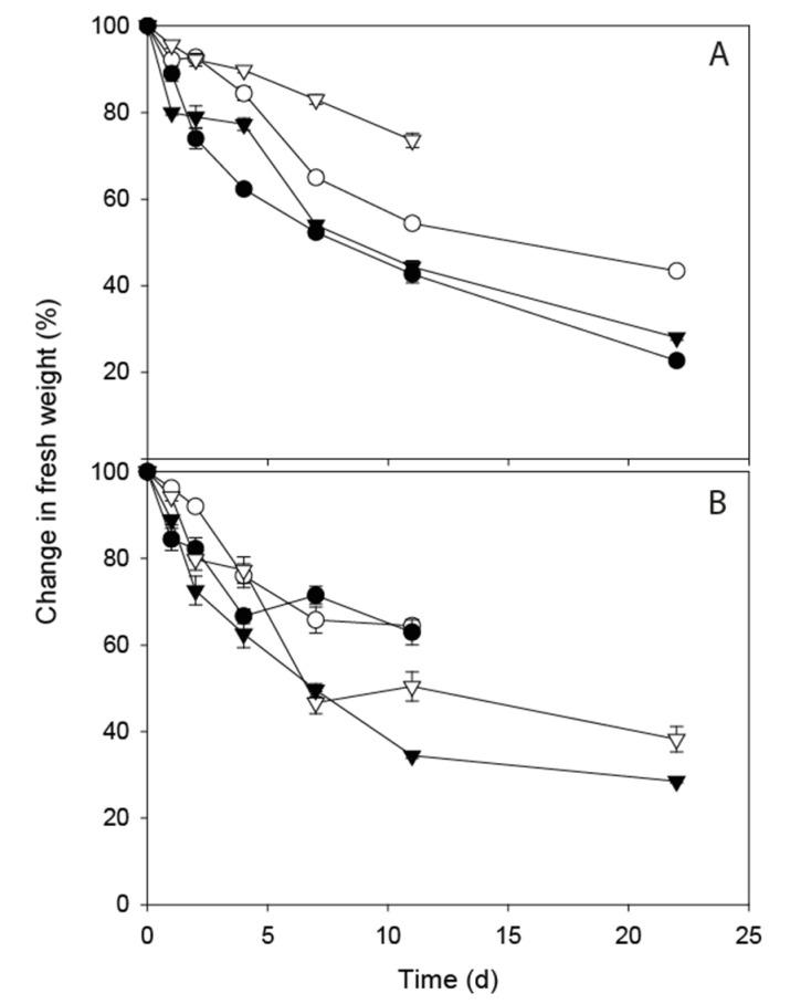
Characterising faecal indicator organism (FIO) survival in the environment is important for informing land management and minimising public health risk to downstream water users. However, key gaps in knowledge include understanding how wildlife contribute to catchment-wide FIO sources and how FIO survival is affected by low environmental temperatures. The aim of this study was to quantify and intestinal enterococci die-off in dairy cow versus red deer faecal sources exposed to repeated freeze-thaw cycles under controlled laboratory conditions. Survival of FIOs in water exposed to freeze-thaw was also investigated to help interpret survival responses. Both and intestinal enterococci were capable of surviving sub-freezing conditions with the faeces from both animals able to sustain relatively high FIO concentrations, as indicated by modelling, and observations revealing persistence in excess of 11 days and in some cases confirmed beyond 22 days. Die-off responses of deer-derived FIOs in both faeces and water exposed to low temperatures provide much needed information to enable better accounting of the varied catchment sources of faecal pollution and results from this study help constrain the parameterisation of die-off coefficients to better inform more integrated modelling and decision-making for microbial water quality management.
描述粪便指示生物(FIO)在环境中的存活情况对于指导土地管理和最大限度地降低下游用水者的公共卫生风险非常重要。然而,知识的关键空白包括了解野生动物如何为集水区范围内的 FIO 来源做出贡献,以及 FIO 的存活如何受到低温环境的影响。本研究的目的是量化在受控实验室条件下,反复经历冻融循环时,奶牛粪便和赤鹿粪便来源中的 FIO 和肠道肠球菌的死亡情况。还研究了暴露于冻融条件下的水中 FIO 的存活情况,以帮助解释存活反应。和肠道肠球菌都能够在亚冷冻条件下存活,两种动物的粪便都能够维持相对较高的 FIO 浓度,这可以通过建模来指示,并且观察到它们的存活时间超过 11 天,在某些情况下,甚至超过 22 天。在低温下,无论是在粪便中还是在水中,鹿源 FIO 的死亡反应都提供了急需的信息,以便更好地说明粪便污染的各种集水区来源,本研究的结果有助于限制死亡系数的参数化,以便更好地为微生物水质管理的综合建模和决策提供信息。