Gziut Konrad, Kowalczyk Agnieszka, Schmidt Beata
Department of Chemical Organic Technology and Polymeric Materials, Faculty of Chemical Technology and Engineering, West Pomeranian University of Technology in Szczecin, 70-322 Szczecin, Poland.
Polymers (Basel). 2020 Sep 24;12(10):2191. doi: 10.3390/polym12102191.
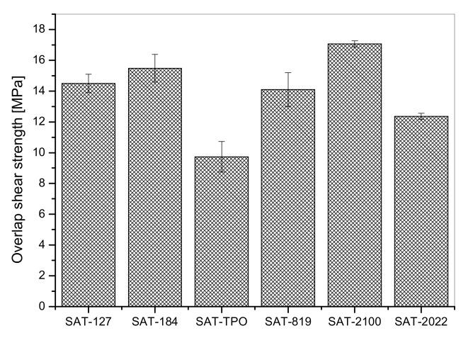
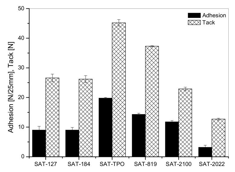
A new fabrication method for thin (120 µm) thermally curable structural self-adhesive tapes (SATs) was demonstrated by utilizing a series of acrylic syrups (ASs) modified using Bisphenol A-based liquid epoxy resin. The acrylic syrups containing poly(butyl acrylate--butyl methacrylate--glycidyl methacrylate--2-hydroxyetyl acrylate--4-acryloyloxy benzophenone) were synthesized via free-radical bulk-photopolymerization (FRBP) process. Influence of different type I radical photoinitiators (PIs), i.e., α-hydroxyalkylphenones (HPs), acylphosphine oxides (APOs) and its mixtures (HPs/APOs and APO/APO) on selected physico-chemical features of obtained ASs was studied. It turned out that APO-type PIs are more effective in the FRBP process (NMR studies). Self-adhesive tests of SATs revealed that the monomers' conversion in ASs have a significant influence on adhesion and tack. Moreover, the polymer structures formed at the UV cross-linking stage of SATs significantly affect the cross-linking degree of SATs during thermal curing (differential scanning calorimetry method). The highest values of overlap shear strength were achieved by SATs based on ASs with monomers' conversion on the level 50-60%.
通过使用一系列用双酚A基液态环氧树脂改性的丙烯酸糖浆(AS),展示了一种用于制备薄(120 µm)热固化结构自粘带(SAT)的新制造方法。含有聚(丙烯酸丁酯-甲基丙烯酸丁酯-甲基丙烯酸缩水甘油酯-丙烯酸2-羟乙酯-4-丙烯酰氧基二苯甲酮)的丙烯酸糖浆通过自由基本体光聚合(FRBP)工艺合成。研究了不同类型的I型自由基光引发剂(PI),即α-羟基烷基苯酮(HP)、酰基氧化膦(APO)及其混合物(HP/APO和APO/APO)对所得AS选定物理化学特性的影响。结果表明,APO型PI在FRBP工艺中更有效(核磁共振研究)。SAT的自粘测试表明,AS中单体的转化率对粘附力和粘性有显著影响。此外,SAT在紫外线交联阶段形成的聚合物结构在热固化过程中显著影响SAT的交联程度(差示扫描量热法)。基于单体转化率在50-60%水平的AS的SAT实现了最高的搭接剪切强度值。