Suppr超能文献

三聚氰胺基环氧树脂的合成与表征。

Synthesis and characterizations of melamine-based epoxy resins.

机构信息

Dipartimento di Ingegneria, Università di Napoli 'Parthenope', INSTM Research Group Napoli Parthenope, Centro Direzionale Napoli, Isola C4, Napoli 80143, Italy.

出版信息

Int J Mol Sci. 2013 Sep 5;14(9):18200-14. doi: 10.3390/ijms140918200.

Abstract

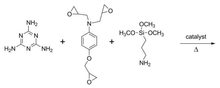
A new, easy and cost-effective synthetic procedure for the preparation of thermosetting melamine-based epoxy resins is reported. By this innovative synthetic method, different kinds of resins can be obtained just by mixing the reagents in the presence of a catalyst without solvent and with mild curing conditions. Two types of resins were synthesized using melamine and a glycidyl derivative (resins I) or by adding a silane derivative (resin II). The resins were characterized by means of chemical-physical and thermal techniques. Experimental results show that all the prepared resins have a good thermal stability, but differ for their mechanical properties: resin I exhibits remarkable stiffness with a storage modulus value up to 830 MPa at room temperature, while lower storage moduli were found for resin II, indicating that the presence of silane groups could enhance the flexibility of these materials. The resins show a pot life higher than 30 min, which makes these resins good candidates for practical applications. The functionalization with silane terminations can be exploited in the formulation of hybrid organic-inorganic composite materials.

摘要

本文报道了一种新的、简便且经济高效的热固性三聚氰胺基环氧树脂的合成方法。通过这种创新的合成方法,只需在催化剂存在下混合试剂,无需溶剂,并在温和的固化条件下,就可以得到不同种类的树脂。使用三聚氰胺和缩水甘油衍生物(树脂 I)或添加硅烷衍生物(树脂 II)合成了两种类型的树脂。通过化学物理和热技术对树脂进行了表征。实验结果表明,所有制备的树脂均具有良好的热稳定性,但机械性能有所不同:树脂 I 在室温下具有高达 830 MPa 的储能模量值,表现出显著的刚性,而树脂 II 的储能模量较低,表明硅烷基团的存在可以提高这些材料的柔韧性。树脂的适用期大于 30 分钟,这使得这些树脂成为实际应用的良好候选材料。硅烷封端的官能化可用于制备杂化有机-无机复合材料。

https://cdn.ncbi.nlm.nih.gov/pmc/blobs/2bcc/3794776/cc532330db7b/ijms-14-18200f1.jpg

文献检索

告别复杂PubMed语法,用中文像聊天一样搜索,搜遍4000万医学文献。AI智能推荐,让科研检索更轻松。

立即免费搜索

文件翻译

保留排版,准确专业,支持PDF/Word/PPT等文件格式,支持 12+语言互译。

免费翻译文档

深度研究

AI帮你快速写综述,25分钟生成高质量综述,智能提取关键信息,辅助科研写作。

立即免费体验