Suppr超能文献

硫酸氢钠和球虫药对艾美耳球虫感染肉鸡肠道病变和生长性能的影响。

The effect of sodium bisulfate and coccidiostat on intestinal lesions and growth performance of Eimeria spp.-challenged broilers.

机构信息

Department of Poultry Science, Faculty of Agriculture, Tarbiat Modares University, Tehran 1411713116, Iran.

Prestage Department of Poultry Science, College of Agriculture and Life Sciences, North Carolina State University, Raleigh, NC 27695-7608, USA.

出版信息

Poult Sci. 2020 Oct;99(10):4769-4775. doi: 10.1016/j.psj.2020.06.060. Epub 2020 Jul 19.

Abstract

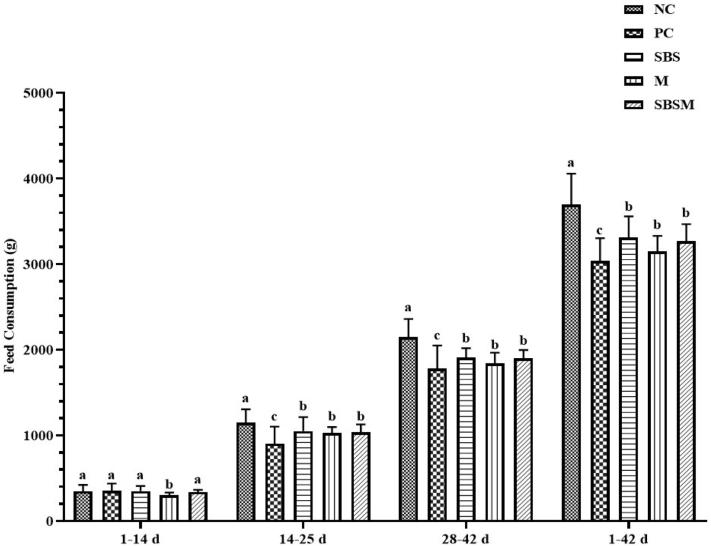
Coccidiosis is a high-prevalence disease that annually entails huge costs for the poultry industry. Control of coccidiosis in poultry production is based on the use of coccidiostats and vaccines. However, along with the problem of drug resistance, there is a concern about food safety and drug residues in poultry products. The objective of this study was to evaluate the effect of sodium bisulfate (SBS) in comparison with monensin (M) and their combination (SBSM) effects on controlling coccidiosis in broilers. In a randomized design, 300 chickens (Ross 308) were divided into 5 treatments and 4 replications (15 birds per replicate). All birds, except the negative control (NC), were orally inoculated with 4 Eimeria species on 14 D of age. Treatments included were as follows: NC, an unsupplemented basal diet, nonchallenged; positive control, a basal diet unsupplemented, challenged with Eimeria spp; a basal diet supplemented with 5 g/kg of SBS; a basal diet supplemented with 1 g/kg of M; and a basal diet supplemented with 5 g/kg SBS and 1 g/kg M (SBSM). Oocyst shedding per gram (OPG) of the faecal sample from each experimental unit was counted on 5 to 14 D after inoculation. Two chicks from each experimental unit were euthanized to investigate intestinal lesions on day 5 after inoculation. The NC birds showed the highest BW gain and the lowest feed conversion ratio. The birds in the SBSM group had improved feed consumption compared with the M group in the prechallenge period (P < 0.05). All supplemented treatments resulted in a significant decrease in OPG. The M and SBSM treatments showed more efficacy than the SBS group (P < 0.05) in reducing OPG. There was a significant reduction in cecal lesions owing to supplementation with SBS, but the effect of SBS in the upper part of the intestine was lower than the M and SBSM groups (P < 0.05). Based on the results of this study, SBS has protective effects against coccidiosis in ceca, and the combination of M and SBS (SBSM) did not show any further improvement effect compared with M alone on the control of coccidiosis.

摘要

球虫病是一种高发病率疾病,每年给家禽养殖业带来巨大的成本。家禽生产中球虫病的控制基于使用球虫抑制剂和疫苗。然而,随着耐药性问题的出现,人们对家禽产品的食品安全和药物残留问题感到担忧。本研究的目的是评估硫酸氢钠(SBS)与莫能菌素(M)的效果,并比较它们的组合(SBSM)对控制肉鸡球虫病的效果。在随机设计中,将 300 只鸡(罗斯 308)分为 5 个处理和 4 个重复(每个重复 15 只鸡)。除阴性对照(NC)外,所有鸡只在 14 日龄时口服接种 4 种艾美耳球虫。处理包括:NC,基础日粮不添加任何物质,未感染;阳性对照,基础日粮不添加任何物质,感染艾美耳球虫;基础日粮添加 5g/kg 的 SBS;基础日粮添加 1g/kg 的 M;基础日粮添加 5g/kg 的 SBS 和 1g/kg 的 M(SBSM)。从每个实验单位的粪便样本中计算每克(OPG)的卵囊脱落量,在接种后 5 至 14 天进行计数。在接种后第 5 天,从每个实验单位中随机选择 2 只鸡进行安乐死,以调查肠道病变。NC 组鸡的 BW 增加最多,饲料转化率最低。与 M 组相比,SBSM 组在挑战前阶段的采食量有所提高(P < 0.05)。所有添加处理均显著降低 OPG。M 和 SBSM 处理在降低 OPG 方面比 SBS 组更有效(P < 0.05)。添加 SBS 可显著减少盲肠病变,但 SBS 对上肠的作用低于 M 和 SBSM 组(P < 0.05)。根据本研究的结果,SBS 对盲肠球虫病有保护作用,与单独使用 M 相比,M 和 SBS(SBSM)的组合在控制球虫病方面没有显示出任何进一步的改善效果。

https://cdn.ncbi.nlm.nih.gov/pmc/blobs/99ef/7598339/3b535fa1d5f8/gr1.jpg

文献检索

告别复杂PubMed语法,用中文像聊天一样搜索,搜遍4000万医学文献。AI智能推荐,让科研检索更轻松。

立即免费搜索

文件翻译

保留排版,准确专业,支持PDF/Word/PPT等文件格式,支持 12+语言互译。

免费翻译文档

深度研究

AI帮你快速写综述,25分钟生成高质量综述,智能提取关键信息,辅助科研写作。

立即免费体验