Suppr超能文献

六方氮化硼单层中的外尔费米子

Weyl Fermions in VI Monolayer.

作者信息

Jia Taoyuan, Meng Weizhen, Zhang Haopeng, Liu Chunhai, Dai Xuefang, Zhang Xiaoming, Liu Guodong

机构信息

School of Material Sciences and Engineering, Hebei University of Technology, Tianjin, China.

出版信息

Front Chem. 2020 Aug 26;8:722. doi: 10.3389/fchem.2020.00722. eCollection 2020.

Abstract

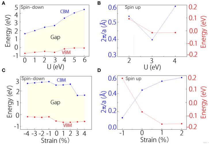
We report the presence of a Weyl fermion in VI monolayer. The material shows a sandwich-like hexagonal structure and stable phonon spectrum. It has a half-metal band structure, where only the bands in one spin channel cross the Fermi level. There are three pairs of Weyl points slightly below the Fermi level in spin-up channel. The Weyl points show a clean band structure and are characterized by clear Fermi arcs edge state. The effects of spin-orbit coupling, electron correlation, and lattice strain on the electronic band structure were investigated. We find that the half-metallicity and Weyl points are robust against these perturbations. Our work suggests VI monolayer is an excellent Weyl half-metal.

摘要

我们报道了在VI族单层中存在外尔费米子。该材料呈现出类似三明治的六边形结构以及稳定的声子谱。它具有半金属能带结构,其中只有一个自旋通道中的能带穿过费米能级。在自旋向上通道中,有三对外尔点略低于费米能级。这些外尔点呈现出清晰的能带结构,并具有明显的费米弧边缘态特征。研究了自旋轨道耦合、电子关联和晶格应变对电子能带结构的影响。我们发现半金属性和外尔点对这些微扰具有鲁棒性。我们的工作表明VI族单层是一种优异的外尔半金属。

https://cdn.ncbi.nlm.nih.gov/pmc/blobs/750a/7479203/4606e2eb80d5/fchem-08-00722-g0001.jpg

文献检索

告别复杂PubMed语法,用中文像聊天一样搜索,搜遍4000万医学文献。AI智能推荐,让科研检索更轻松。

立即免费搜索

文件翻译

保留排版,准确专业,支持PDF/Word/PPT等文件格式,支持 12+语言互译。

免费翻译文档

深度研究

AI帮你快速写综述,25分钟生成高质量综述,智能提取关键信息,辅助科研写作。

立即免费体验