• 文献检索
  • 文档翻译
  • 深度研究
  • 学术资讯
  • Suppr Zotero 插件Zotero 插件
  • 邀请有礼
  • 套餐&价格
  • 历史记录
应用&插件
Suppr Zotero 插件Zotero 插件浏览器插件Mac 客户端Windows 客户端微信小程序
定价
高级版会员购买积分包购买API积分包
服务
文献检索文档翻译深度研究API 文档MCP 服务
关于我们
关于 Suppr公司介绍联系我们用户协议隐私条款
关注我们

Suppr 超能文献

核心技术专利:CN118964589B侵权必究
粤ICP备2023148730 号-1Suppr @ 2026

文献检索

告别复杂PubMed语法,用中文像聊天一样搜索,搜遍4000万医学文献。AI智能推荐,让科研检索更轻松。

立即免费搜索

文件翻译

保留排版,准确专业,支持PDF/Word/PPT等文件格式,支持 12+语言互译。

免费翻译文档

深度研究

AI帮你快速写综述,25分钟生成高质量综述,智能提取关键信息,辅助科研写作。

立即免费体验

对山榄科植物超积累综合征的新见解。

Novel Insights Into the Hyperaccumulation Syndrome in (Sapotaceae).

作者信息

Isnard Sandrine, L'Huillier Laurent, Paul Adrian L D, Munzinger Jérôme, Fogliani Bruno, Echevarria Guillaume, Erskine Peter D, Gei Vidiro, Jaffré Tanguy, van der Ent Antony

机构信息

AMAP, Université Montpellier, IRD, CIRAD CNRS, INRAE, Montpellier, France.

AMAP, IRD, Herbier de Nouvelle-Calédonie, Nouméa, New Caledonia.

出版信息

Front Plant Sci. 2020 Sep 9;11:559059. doi: 10.3389/fpls.2020.559059. eCollection 2020.

DOI:10.3389/fpls.2020.559059
PMID:33013977
原文链接:https://pmc.ncbi.nlm.nih.gov/articles/PMC7509057/
Abstract

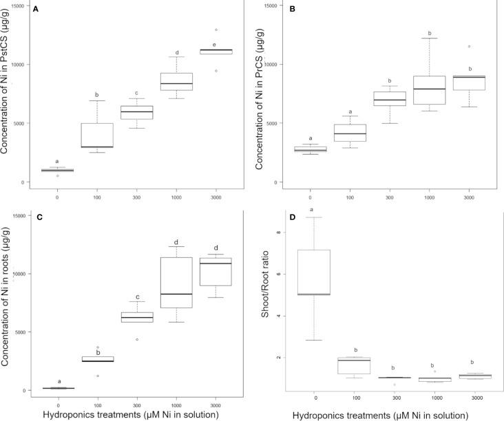
The discovery of nickel hyperaccumulation, in , was the start of a global quest in this fascinating phenomenon. Despite recent advances in the physiology and molecular genetics of hyperaccumulation, the mechanisms and tolerance of Ni accumulation in the most extreme example reported to date, , remains enigmatic. We conducted a hydroponic experiment to establish Ni tolerance levels and translocation patterns in roots and shoots of , and analyzed elemental partitioning to gain insights into Ni regulation. We combined a phylogeny and foliar Ni concentrations to assess the incidence of hyperaccumulation within the genus . Hydroponic dosing experiments revealed that can resist extreme Ni concentrations in solution (up to 3,000 µM), and dosing at 100 µM Ni was beneficial to growth. All plant parts were highly enriched in Ni, but the latex had extreme Ni concentrations (124,000 µg g). Hyperaccumulation evolved independently in only two subgenera and five species of the genus . The extremely high level of Ni tolerance is posited to derive from the unique properties of laticifers. The evolutionary and ecological significance of Ni hyperaccumulation in is discussed in light of these findings. We suggest that Ni-rich laticifers might be more widespread in the plant kingdom and that more investigation is warranted.

摘要

在[具体植物名称]中发现镍超积累现象,开启了全球对这一迷人现象的探索。尽管超积累的生理学和分子遗传学方面最近取得了进展,但在迄今为止报道的最极端例子[具体植物名称]中,镍积累的机制和耐受性仍然是个谜。我们进行了一项水培实验,以确定[具体植物名称]根系和地上部分的镍耐受水平和转运模式,并分析元素分配情况,以深入了解镍的调控机制。我们结合系统发育和叶片镍浓度来评估该属内超积累的发生率。水培加药实验表明,[具体植物名称]能够抵抗溶液中极高的镍浓度(高达3000μM),在100μM镍浓度下加药对生长有益。所有植物部分都高度富集镍,但乳胶中的镍浓度极高(124000μg/g)。超积累仅在该属的两个亚属和五个物种中独立进化。极高的镍耐受性被认为源于乳管的独特特性。根据这些发现,讨论了[具体植物名称]中镍超积累的进化和生态意义。我们认为,富含镍的乳管可能在植物界更为普遍,值得进行更多研究。

https://cdn.ncbi.nlm.nih.gov/pmc/blobs/b978/7509057/30995fb28df6/fpls-11-559059-g005.jpg
https://cdn.ncbi.nlm.nih.gov/pmc/blobs/b978/7509057/3c4ccda0cccc/fpls-11-559059-g001.jpg
https://cdn.ncbi.nlm.nih.gov/pmc/blobs/b978/7509057/46616e0cbda4/fpls-11-559059-g002.jpg
https://cdn.ncbi.nlm.nih.gov/pmc/blobs/b978/7509057/9d3511286088/fpls-11-559059-g003.jpg
https://cdn.ncbi.nlm.nih.gov/pmc/blobs/b978/7509057/a735b646370a/fpls-11-559059-g004.jpg
https://cdn.ncbi.nlm.nih.gov/pmc/blobs/b978/7509057/30995fb28df6/fpls-11-559059-g005.jpg
https://cdn.ncbi.nlm.nih.gov/pmc/blobs/b978/7509057/3c4ccda0cccc/fpls-11-559059-g001.jpg
https://cdn.ncbi.nlm.nih.gov/pmc/blobs/b978/7509057/46616e0cbda4/fpls-11-559059-g002.jpg
https://cdn.ncbi.nlm.nih.gov/pmc/blobs/b978/7509057/9d3511286088/fpls-11-559059-g003.jpg
https://cdn.ncbi.nlm.nih.gov/pmc/blobs/b978/7509057/a735b646370a/fpls-11-559059-g004.jpg
https://cdn.ncbi.nlm.nih.gov/pmc/blobs/b978/7509057/30995fb28df6/fpls-11-559059-g005.jpg

相似文献

1
Novel Insights Into the Hyperaccumulation Syndrome in (Sapotaceae).对山榄科植物超积累综合征的新见解。
Front Plant Sci. 2020 Sep 9;11:559059. doi: 10.3389/fpls.2020.559059. eCollection 2020.
2
Extreme nickel hyperaccumulation in the vascular tracts of the tree Phyllanthus balgooyi from Borneo.婆罗洲的巴哥叶下珠树维管束中镍的极端超积累现象。
New Phytol. 2016 Mar;209(4):1513-26. doi: 10.1111/nph.13712. Epub 2015 Oct 28.
3
Intensive cycling of nickel in a New Caledonian forest dominated by hyperaccumulator trees.在以超积累树木为主的新喀里多尼亚森林中镍的强烈循环。
Plant J. 2021 Aug;107(4):1040-1055. doi: 10.1111/tpj.15362. Epub 2021 Aug 6.
4
Within and between population variation for zinc and nickel accumulation in two species of Thlaspi (Brassicaceae).两种遏蓝菜属(十字花科)植物中锌和镍积累的种群内和种群间变异
New Phytol. 2006;169(3):505-13. doi: 10.1111/j.1469-8137.2005.01625.x.
5
The discovery of nickel hyperaccumulation in the New Caledonian tree Pycnandra acuminata 40 years on: an introduction to a Virtual Issue.四十年后新喀里多尼亚树木尖叶蜜囊花中镍超积累现象的发现:虚拟特刊引言
New Phytol. 2018 Apr;218(2):397-400. doi: 10.1111/nph.15105.
6
Intraspecific Variation in Nickel Tolerance and Hyperaccumulation among Serpentine and Limestone Populations of (Brassicaceae: Alysseae) from the Iberian Peninsula.伊比利亚半岛十字花科香雪球属植物在蛇纹石和石灰岩种群中镍耐受性及超积累的种内变异
Plants (Basel). 2021 Apr 19;10(4):800. doi: 10.3390/plants10040800.
7
Elemental and metabolite profiling of nickel hyperaccumulators from New Caledonia.元素和代谢产物分析镍超富集植物来自新喀里多尼亚。
Phytochemistry. 2012 Sep;81:80-9. doi: 10.1016/j.phytochem.2012.06.010. Epub 2012 Jul 12.
8
Intra-specific variation in Ni tolerance, accumulation and translocation patterns in the Ni-hyperaccumulator Alyssum lesbiacum.镍超富集植物阿拉伯滨藜体内镍耐性、积累和迁移模式的种内变异。
Chemosphere. 2014 Jan;95:496-502. doi: 10.1016/j.chemosphere.2013.09.106. Epub 2013 Oct 30.
9
Towards an Understanding of the Molecular Basis of Nickel Hyperaccumulation in Plants.关于理解植物中镍超积累的分子基础
Plants (Basel). 2019 Jan 4;8(1):11. doi: 10.3390/plants8010011.
10
Hyperaccumulation of nickel by hairy roots of alyssum species: comparison with whole regenerated plants.香雪球属植物毛状根对镍的超积累:与整株再生植株的比较。
Biotechnol Prog. 2001 Jul-Aug;17(4):752-9. doi: 10.1021/bp0100629.

本文引用的文献

1
Phylogeny, diagnostic characters and generic limitation of Australasian Chrysophylloideae (Sapotaceae, Ericales): evidence from ITS sequence data and morphology.澳大拉西亚金叶树亚科(山榄科,杜鹃花目)的系统发育、诊断特征及属的界定:来自ITS序列数据和形态学的证据
Cladistics. 2007 Jun;23(3):201-228. doi: 10.1111/j.1096-0031.2006.00141.x.
2
Heavy metal accumulation and tolerance in British populations of the metallophyte Thlaspi caerulescens J. & C. Presl (Brassicaceae).英国金属植物天蓝遏蓝菜(十字花科)种群中的重金属积累与耐受性
New Phytol. 1994 May;127(1):61-68. doi: 10.1111/j.1469-8137.1994.tb04259.x.
3
Phylogenetic and geographic distribution of nickel hyperaccumulation in neotropical Psychotria.
新热带Psychotria 中镍超积累的系统发育和地理分布。
Am J Bot. 2019 Oct;106(10):1377-1385. doi: 10.1002/ajb2.1362. Epub 2019 Sep 25.
4
X-Ray Fluorescence Ionomics of Herbarium Collections.植物标本馆 X 射线荧光离子组学研究
Sci Rep. 2019 Mar 18;9(1):4746. doi: 10.1038/s41598-019-40050-6.
5
Nickel-accumulating plants from the ancient serpentine soils of Cuba.来自古巴古老蛇纹岩土的镍积累植物。
New Phytol. 1996 Jun;133(2):217-224. doi: 10.1111/j.1469-8137.1996.tb01888.x.
6
The discovery of nickel hyperaccumulation in the New Caledonian tree Pycnandra acuminata 40 years on: an introduction to a Virtual Issue.四十年后新喀里多尼亚树木尖叶蜜囊花中镍超积累现象的发现:虚拟特刊引言
New Phytol. 2018 Apr;218(2):397-400. doi: 10.1111/nph.15105.
7
A global database for plants that hyperaccumulate metal and metalloid trace elements.一个关于超积累金属和类金属微量元素植物的全球数据库。
New Phytol. 2018 Apr;218(2):407-411. doi: 10.1111/nph.14907. Epub 2017 Nov 15.
8
Multiple facets of laticifer cells.乳汁管细胞的多个方面。
Plant Signal Behav. 2017 Jul 3;12(7):e1300743. doi: 10.1080/15592324.2017.1300743. Epub 2017 Jul 18.
9
The ecological significance of nickel hyperaccumulation: a plant chemical defense.镍超积累的生态意义:一种植物化学防御机制
Oecologia. 1994 Aug;98(3-4):379-384. doi: 10.1007/BF00324227.
10
Nickel biopathways in tropical nickel hyperaccumulating trees from Sabah (Malaysia).沙巴(马来西亚)热带镍超积累树种中的镍生物途径。
Sci Rep. 2017 Feb 16;7:41861. doi: 10.1038/srep41861.