Suppr超能文献

闭环复分解方法在 Rhizoxins 全合成中的应用。

Ring-Closing Metathesis Approaches towards the Total Synthesis of Rhizoxins.

机构信息

ETH Zürich, Department of Chemistry and Applied Biosciences, Institute of Pharmaceutical Sciences, 8093 Zürich, Switzerland.

出版信息

Molecules. 2020 Oct 2;25(19):4527. doi: 10.3390/molecules25194527.

Abstract

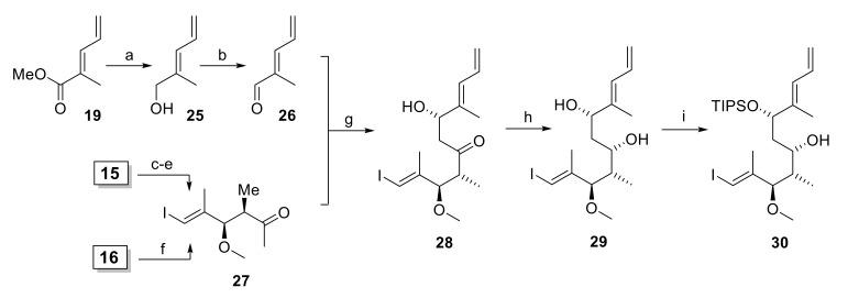
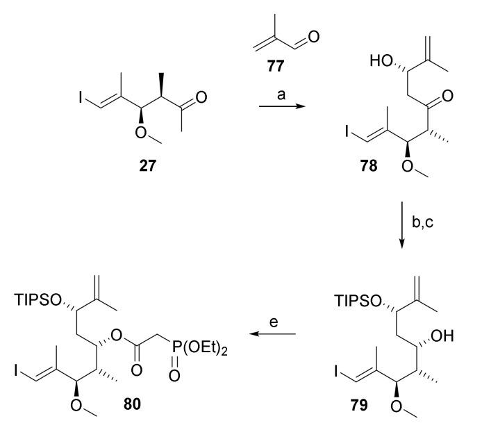
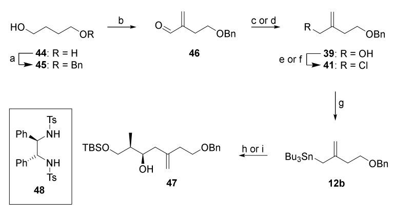
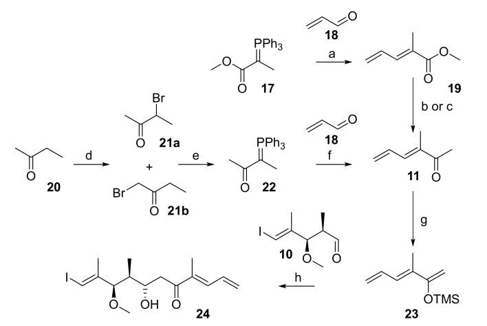
Efforts are described towards the total synthesis of the bacterial macrolide rhizoxin F, which is a potent tubulin assembly and cancer cell growth inhibitor. A significant amount of work was expanded on the construction of the rhizoxin core macrocycle by ring-closing olefin metathesis (RCM) between C(9) and C(10), either directly or by using relay substrates, but in no case was ring-closure achieved. Macrocycle formation was possible by ring-closing alkyne metathesis (RCAM) at the C(9)/C(10) site. The requisite diyne was obtained from advanced intermediates that had been prepared as part of the synthesis of the RCM substrates. While the direct conversion of the triple bond formed in the ring-closing step into the C(9)-C(10) double bond of the rhizoxin macrocycle proved to be elusive, the corresponding Z isomer was accessible with high selectivity by reductive decomplexation of the biscobalt hexacarbonyl complex of the triple bond with ethylpiperidinium hypophosphite. Radical-induced double bond isomerization, full elaboration of the C(15) side chain, and directed epoxidation of the C(11)-C(12) double bond completed the total synthesis of rhizoxin F.

摘要

描述了将细菌大环内酯雷佐辛 F 进行全合成的努力,雷佐辛 F 是一种有效的微管组装和癌细胞生长抑制剂。通过 C(9)和 C(10)之间的闭环烯烃复分解 (RCM),或者直接使用接力底物,对雷佐辛核心大环的构建进行了大量的工作,但在任何情况下都没有实现闭环。通过 C(9)/C(10) 位的环闭炔烃复分解 (RCAM) 可以形成大环。所需的二炔是从作为 RCM 底物合成一部分制备的高级中间体中获得的。虽然在闭环步骤中形成的三键直接转化为雷佐辛大环的 C(9)-C(10)双键被证明是难以捉摸的,但通过用乙基哌啶基次膦酸酯还原脱络合三键的双钴六羰基配合物,可以高选择性地获得相应的 Z 异构体。自由基诱导的双键异构化、C(15)侧链的完全修饰以及 C(11)-C(12)双键的定向环氧化完成了雷佐辛 F 的全合成。

https://cdn.ncbi.nlm.nih.gov/pmc/blobs/cef6/7582377/9da339cb02fe/molecules-25-04527-g001.jpg

文献检索

告别复杂PubMed语法,用中文像聊天一样搜索,搜遍4000万医学文献。AI智能推荐,让科研检索更轻松。

立即免费搜索

文件翻译

保留排版,准确专业,支持PDF/Word/PPT等文件格式,支持 12+语言互译。

免费翻译文档

深度研究

AI帮你快速写综述,25分钟生成高质量综述,智能提取关键信息,辅助科研写作。

立即免费体验