Suppr超能文献

一种整合基因表达与临床病理特征的新型预后评分系统,用于预测淋巴结阴性、雌激素受体阳性/人表皮生长因子受体2阴性乳腺癌的极早期复发

A Novel Prognostic Scoring System Integrating Gene Expressions and Clinicopathological Characteristics to Predict Very Early Relapse in Node-Negative Estrogen Receptor-Positive/HER2-Negative Breast Cancer.

作者信息

Lin Caijin, Wu Jiayi, Lin Lin, Fei Xiaochun, Chen Xiaosong, Huang Ou, He Jianrong, Chen Weiguo, Li Yafen, Shen Kunwei, Zhu Li

机构信息

Department of General Surgery, Comprehensive Breast Health Center, Ruijin Hospital, Shanghai Jiao Tong University School of Medicine, Shanghai, China.

Department of Clinical Laboratory, Ruijin Hospital, Shanghai Jiao Tong University School of Medicine, Shanghai, China.

出版信息

Front Oncol. 2020 Sep 11;10:1335. doi: 10.3389/fonc.2020.01335. eCollection 2020.

Abstract

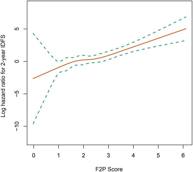
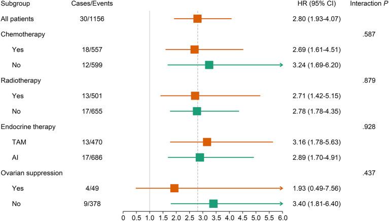
Despite low aggressiveness in tumor biology and high responsiveness to endocrine therapy, subgroups of patients with estrogen receptor-positive/HER2-negative (ER+/HER2-) breast cancer relapse early in the first two years after initiation of endocrine therapy, indicating potential endocrine resistance. Accordingly, we attempted to establish a scoring system to inform the first-2-year prognosis (F2P Score). Patients with node-negative ER+/HER2- breast cancer and complete data of gene expressions in a 21-gene panel were retrospectively retrieved from Shanghai Jiao Tong University Breast Cancer Database (SJTU-BCDB). The F2P Score was established based on the clinical and genomic variables associated with the first-2-year relapse after shrinkage correction and validated using the bootstrap resampling method. Model performance was quantified by Harrell's concordance-index (C-index) and Bayesian information criteria (BIC). The F2P Score was established by integrating the clinical (age and tumor size) and genomic (, and ) variables with a C-index of 0.71 and BIC of 397.46. Bootstrap C-index was 0.72 (95% CI, 0.62-0.81) and BIC was 396.75 (95% CI, 252.37-541.13). A higher score indicated an increased likelihood of a first-2-year relapse, when used as continuous (HR, 2.94; 95% CI, 1.87-4.61) or categorical (HR, 3.68; 95% CI, 1.70-8.00) predictors in multivariate analysis. Both continuous and categorical F2P Score also remained prognostic for overall survival and other endpoints. No significant interaction was observed between the F2P Score and treatment subgroups. Additionally, the F2P Score outperformed the IHC4, clinical treatment score and 21-gene test in predicting first-2-year relapse. The F2P Score reported herein, integrating the clinicopathological and genomic variables, may inform prognosis and endocrine responsiveness. After the benefits and risks have been considered, treatment escalation may be an alternative strategy for patients with a higher score.

摘要

尽管雌激素受体阳性/人表皮生长因子受体2阴性(ER+/HER2-)乳腺癌在肿瘤生物学方面侵袭性较低且对内分泌治疗反应较高,但部分患者在内分泌治疗开始后的头两年内早期复发,提示存在潜在的内分泌抵抗。因此,我们试图建立一个评分系统来评估前两年的预后(F2P评分)。从上海交通大学乳腺癌数据库(SJTU-BCDB)中回顾性检索了淋巴结阴性的ER+/HER2-乳腺癌患者以及21基因检测板中基因表达的完整数据。F2P评分基于与缩小校正后前两年复发相关的临床和基因组变量建立,并使用自助重采样方法进行验证。模型性能通过Harrell一致性指数(C指数)和贝叶斯信息准则(BIC)进行量化。F2P评分通过整合临床(年龄和肿瘤大小)和基因组(,和)变量建立,C指数为0.71,BIC为397.46。自助C指数为0.72(95%CI,0.62-0.81),BIC为396.75(95%CI,252.37-541.13)。在多变量分析中,当用作连续变量(HR,2.94;95%CI,1.87-4.61)或分类变量(HR,3.68;95%CI,1.70-8.00)预测因子时,较高的评分表明前两年复发的可能性增加。连续和分类F2P评分对总生存期和其他终点也具有预后价值。F2P评分与治疗亚组之间未观察到显著相互作用。此外,F2P评分在预测前两年复发方面优于免疫组化4(IHC4)、临床治疗评分和21基因检测。本文报道的F2P评分整合了临床病理和基因组变量,可能有助于评估预后和内分泌反应性。在考虑利弊后,对于评分较高的患者,强化治疗可能是一种替代策略。

https://cdn.ncbi.nlm.nih.gov/pmc/blobs/2a3d/7518385/22418b4f6840/fonc-10-01335-g0001.jpg

相似文献

4
Prognostic Value of Modified IHC4 Score in Patients with Estrogen Receptor-Positive Metastatic Breast Cancer.
Oncologist. 2020 Aug;25(8):e1170-e1180. doi: 10.1634/theoncologist.2019-1006. Epub 2020 Jun 16.
7
Clinicopathological factors predicting early and late distant recurrence in estrogen receptor-positive, HER2-negative breast cancer.
Breast Cancer. 2016 Nov;23(6):830-843. doi: 10.1007/s12282-015-0649-0. Epub 2015 Oct 14.

引用本文的文献

3
Impact of Different Modules of 21-Gene Assay in Early Breast Cancer Patients.
Front Endocrinol (Lausanne). 2021 Nov 2;12:759338. doi: 10.3389/fendo.2021.759338. eCollection 2021.

本文引用的文献

1
Breast Cancer, Version 3.2020, NCCN Clinical Practice Guidelines in Oncology.
J Natl Compr Canc Netw. 2020 Apr;18(4):452-478. doi: 10.6004/jnccn.2020.0016.
2
Screening Mammography Outcomes: Risk of Breast Cancer and Mortality by Comorbidity Score and Age.
J Natl Cancer Inst. 2020 Jun 1;112(6):599-606. doi: 10.1093/jnci/djz172.
4
Breast Cancer Treatment: A Review.
JAMA. 2019 Jan 22;321(3):288-300. doi: 10.1001/jama.2018.19323.
5
4th ESO-ESMO International Consensus Guidelines for Advanced Breast Cancer (ABC 4)†.
Ann Oncol. 2018 Aug 1;29(8):1634-1657. doi: 10.1093/annonc/mdy192.
6
20-Year Risks of Breast-Cancer Recurrence after Stopping Endocrine Therapy at 5 Years.
N Engl J Med. 2017 Nov 9;377(19):1836-1846. doi: 10.1056/NEJMoa1701830.
8
Endocrine treatment in breast cancer: Cure, resistance and beyond.
Cancer Treat Rev. 2016 Nov;50:68-81. doi: 10.1016/j.ctrv.2016.08.008. Epub 2016 Sep 7.
10
Analysis of ESR1 mutation in circulating tumor DNA demonstrates evolution during therapy for metastatic breast cancer.
Sci Transl Med. 2015 Nov 11;7(313):313ra182. doi: 10.1126/scitranslmed.aac7551.

文献AI研究员

20分钟写一篇综述,助力文献阅读效率提升50倍。

立即体验

用中文搜PubMed

大模型驱动的PubMed中文搜索引擎

马上搜索

文档翻译

学术文献翻译模型,支持多种主流文档格式。

立即体验