Suppr超能文献

转移性乳腺癌的预后因素:芬兰大学医院的前瞻性单中心队列研究。

Prognostic factors in metastatic breast cancer: a prospective single-centre cohort study in a Finnish University Hospital.

机构信息

Department of Oncology and Radiotherapy, Medical Research Center Oulu, Oulu University Hospital and University of Oulu, Oulu, Finland

Department of Oncology, Helsinki University Hospital Comprehensive Cancer Centre and University of Helsinki, Helsinki, Finland.

出版信息

BMJ Open. 2020 Oct 12;10(10):e038798. doi: 10.1136/bmjopen-2020-038798.

Abstract

OBJECTIVES

Although novel early breast cancer prognostic factors are being continuously discovered, only rare factors predicting survival in metastatic breast cancer have been validated. The prognostic role of early breast cancer prognostic factors in metastatic disease also remains mostly unclear.

DESIGN AND SETTING

Prospective cohort study in a Finnish University Hospital.

PARTICIPANTS AND OUTCOMES

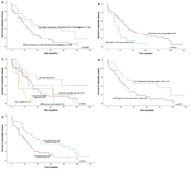
594 women with early breast cancer were originally followed. Sixty-one of these patients developed distant metastases during the follow-up, and their primary breast cancer properties, such as tumour size, nodal status, oestrogen receptor (ER) and progesterone receptor expression, grade, proliferation rate, histopathological subtype and breast cancer subtype were analysed as potential prognostic factors for metastatic disease.

RESULTS

In multivariate analysis, the presence of lymph node metastases at the time of early breast cancer surgery (HR, 2.17; 95% CI, 1.09-4.31; p=0.027) and ER status (negative vs positive, HR, 2.16; 95% CI, 1.14-4.10; p=0.018) were significant predictors of survival in metastatic disease.

CONCLUSIONS

These results confirm ER status as a primary prognostic factor in metastatic breast cancer. Furthermore, it also suggests that the presence of initial lymph node metastases could serve as a prognostic factor in recurrent breast cancer.

摘要

目的

虽然不断发现新的早期乳腺癌预后因素,但仅有少数预测转移性乳腺癌生存的因素得到了验证。早期乳腺癌预后因素在转移性疾病中的预后作用也大多不清楚。

设计和设置

芬兰大学医院的前瞻性队列研究。

参与者和结果

最初随访了 594 名患有早期乳腺癌的女性。这些患者中有 61 人在随访期间发生了远处转移,分析了他们的原发性乳腺癌特征,如肿瘤大小、淋巴结状态、雌激素受体(ER)和孕激素受体表达、分级、增殖率、组织病理学亚型和乳腺癌亚型,作为转移性疾病的潜在预后因素。

多变量分析显示,早期乳腺癌手术时存在淋巴结转移(HR,2.17;95%CI,1.09-4.31;p=0.027)和 ER 状态(阴性与阳性,HR,2.16;95%CI,1.14-4.10;p=0.018)是转移性疾病生存的显著预测因素。

结论

这些结果证实 ER 状态是转移性乳腺癌的主要预后因素。此外,这还表明初始淋巴结转移的存在可能是复发性乳腺癌的预后因素。

https://cdn.ncbi.nlm.nih.gov/pmc/blobs/10a0/7552835/269f71392512/bmjopen-2020-038798f01.jpg

文献AI研究员

20分钟写一篇综述,助力文献阅读效率提升50倍。

立即体验

用中文搜PubMed

大模型驱动的PubMed中文搜索引擎

马上搜索

文档翻译

学术文献翻译模型,支持多种主流文档格式。

立即体验