Rasmussen Thomas, de Nijs Robin, Kjær Olsen Lene, Kamper Anne-Lise, Evi Bang Lia, Frimodt-Møller Marie, Kelbæk Henning, Schwartz Sørensen Søren, Kjær Andreas, Feldt-Rasmussen Bo, Hastrup Svendsen Jesper, Hasbak Philip
Departments of Clinical Physiology, Nuclear Medicine & PET and Cluster for Molecular Imaging, Copenhagen University Hospital, Rigshospitalet, 2100 Copenhagen, Denmark.
Department of Nephrology, Copenhagen University Hospital, Rigshospitalet, 2100 Copenhagen, Denmark.
Diagnostics (Basel). 2020 Oct 9;10(10):802. doi: 10.3390/diagnostics10100802.
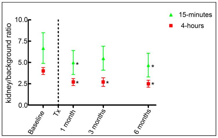
Increased sympathetic activity is suggested to be part of the pathogenesis in several diseases. Methods to evaluate sympathetic activity and renal nervous denervation procedural success are lacking. Scintigraphy using the norepinephrine analog Iodine-123 Metaiodobenzylguanidine (I-MIBG) might provide information on renal sympathetic nervous activity. Renal transplantation induces complete denervation of the kidney and as such represents an ideal model to evaluate the renal I-MIBG scintigraphy method. The aim of this study was to evaluate whether renal I-MIBG scintigraphy can detect changes in renal sympathetic nervous activity following renal transplantation. Renal I-MIBG scintigraphy was performed in eleven renal transplant recipients at 1, 3, and 6 months following transplantation and in their respective living donors prior to their kidney donation. Relative uptake as well as washout was obtained. In transplanted patients, the relative 4 h uptake of I-MIBG, as measured by the kidney/background ratio, was 2.7 (0.4) (mean (SD)), 2.7 (0.5), and 2.5 (0.4) at 1, 3, and 6 months post-transplantation, respectively, as compared with the 4.0 (0.4) value in the donor kidney before donor nephrectomy ( < 0.01). There was no significant change in washout-rate between pre-transplantation and any of the follow-up time points. Living donor kidney transplantation was at 6 months post transplantation, associated with an almost 40% reduction in the relative 4 h I-MIBG uptake of the kidney. Further studies will help to fully establish its implications as a marker of renal innervation or denervation.