Suppr超能文献

蛇毒成分的渐进化和离散型个体发育转变,以及对激素和生态相关因素的评估。

Gradual and Discrete Ontogenetic Shifts in Rattlesnake Venom Composition and Assessment of Hormonal and Ecological Correlates.

机构信息

Department of Biological Sciences, Florida State University, Tallahassee, FL 32304, USA.

School of Natural Resources and Environment, University of Florida, Gainesville, FL 32611, USA.

出版信息

Toxins (Basel). 2020 Oct 16;12(10):659. doi: 10.3390/toxins12100659.

Abstract

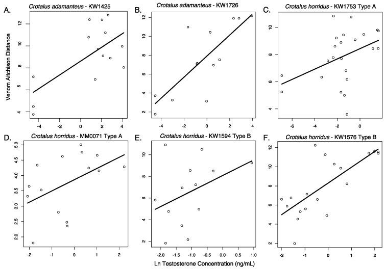
Ontogenetic shifts in venom occur in many snakes but establishing their nature as gradual or discrete processes required additional study. We profiled shifts in venom expression from the neonate to adult sizes of two rattlesnake species, the eastern diamondback and the timber rattlesnake. We used serial sampling and venom chromatographic profiling to test if ontogenetic change occurs gradually or discretely. We found evidence for gradual shifts in overall venom composition in six of eight snakes, which sometimes spanned more than two years. Most chromatographic peaks shift gradually, but one quarter shift in a discrete fashion. Analysis of published diet data showed gradual shifts in overall diet composition across the range of body sizes attained by our eight study animals, while the shifts in abundance of different prey classes varied in form from gradual to discrete. Testosterone concentrations were correlated with the change in venom protein composition, but the relationship is not strong enough to suggest causation. Venom research employing simple juvenile versus adult size thresholds may be failing to account for continuous variation in venom composition lifespan. Our results imply that venom shifts represent adaptive matches to dietary shifts and highlight venom for studies of alternative gene regulatory mechanisms.

摘要

在许多蛇类中,毒液会随着个体发育而发生变化,但要确定这种变化是逐渐发生的还是离散的,还需要进一步研究。我们对两种响尾蛇——东部菱背响尾蛇和森林响尾蛇——的幼体到成体大小的毒液表达变化进行了分析。我们采用连续取样和毒液色谱分析技术,以测试个体发育变化是逐渐发生的还是离散发生的。我们发现,在 8 条蛇中有 6 条蛇的整体毒液成分发生了逐渐变化,有时这种变化会持续两年以上。大多数色谱峰逐渐变化,但有四分之一的峰以离散的方式变化。对已发表的饮食数据的分析表明,在我们研究的 8 只动物所达到的体型范围内,整体饮食组成发生了逐渐变化,而不同猎物类群丰度的变化形式从逐渐变化到离散变化不等。睾酮浓度与毒液蛋白组成的变化相关,但这种关系还不够强,不足以表明其具有因果关系。采用简单的幼体与成体大小阈值进行的毒液研究可能无法解释毒液组成在整个寿命期间的连续变化。我们的研究结果表明,毒液的变化代表了对饮食变化的适应性匹配,并强调了毒液在替代基因调控机制研究中的重要性。

https://cdn.ncbi.nlm.nih.gov/pmc/blobs/0032/7602723/ac01a1e94229/toxins-12-00659-g001.jpg

文献AI研究员

20分钟写一篇综述,助力文献阅读效率提升50倍。

立即体验

用中文搜PubMed

大模型驱动的PubMed中文搜索引擎

马上搜索

文档翻译

学术文献翻译模型,支持多种主流文档格式。

立即体验