Suppr超能文献

关键转录本预测急性川崎病初始免疫球蛋白治疗反应。

Crucial transcripts predict response to initial immunoglobulin treatment in acute Kawasaki disease.

机构信息

Department of Cardiology, Children's Hospital, Zhejiang University School of Medicine, National Clinical Research Center for Child Health, No. 3333 Binsheng Road, Hangzhou, 310051, People's Republic of China.

出版信息

Sci Rep. 2020 Oct 20;10(1):17860. doi: 10.1038/s41598-020-75039-z.

Abstract

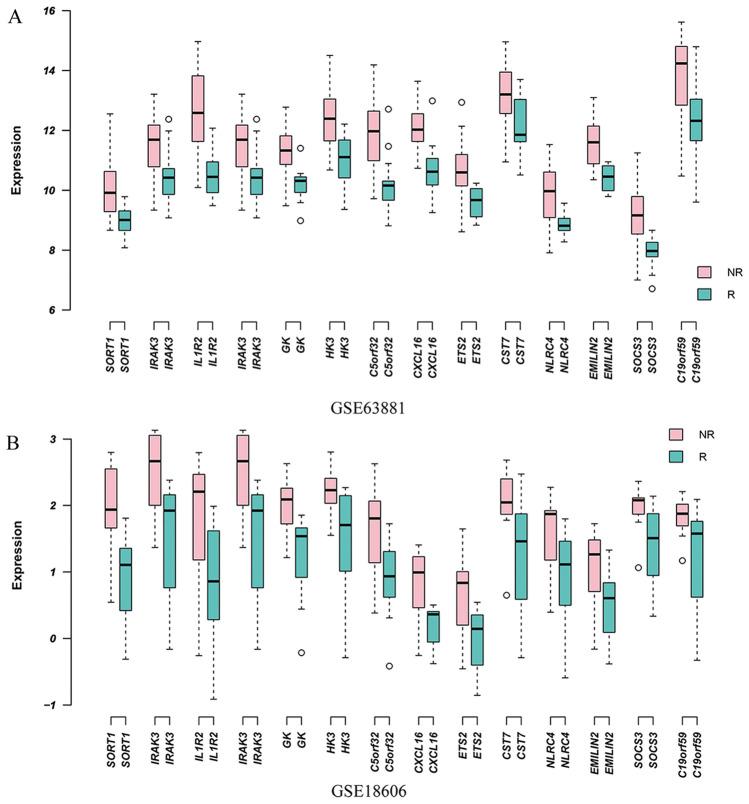
Although intravenous immunoglobulin (IVIG) can effectively treat Kawasaki disease (KD), 10-20% of KD patients show no beneficial clinical response. Developing reliable criteria to discriminate non-responders is important for early planning of appropriate regimens. To predict the non-responders before IVIG treatment, gene expression dataset of 110 responders and 61 non-responders was obtained from Gene Expression Omnibus. After weighted gene co-expression network analysis, we found that modules positively correlated with the non-responders were mainly associated with myeloid cell activation. Transcripts up-regulated in the non-responders, IL1R2, GK, HK3, C5orf32, CXCL16, NAMPT and EMILIN2, were proven to play key roles via interaction with other transcripts in co-expression network. The crucial transcripts may affect the clinical response to IVIG treatment in acute KD. And these transcripts may serve as biomarkers and therapeutic targets for precise diagnosis and treatment of the non-responders.

摘要

虽然静脉注射免疫球蛋白(IVIG)可有效治疗川崎病(KD),但仍有 10-20%的 KD 患者无明显临床获益。因此,开发可靠的标准来区分无反应者对于早期规划适当的治疗方案非常重要。为了在 IVIG 治疗前预测无反应者,我们从基因表达综合数据库中获得了 110 名有反应者和 61 名无反应者的基因表达数据集。通过加权基因共表达网络分析,我们发现与无反应者呈正相关的模块主要与髓样细胞激活有关。无反应者中上调的转录本 IL1R2、GK、HK3、C5orf32、CXCL16、NAMPT 和 EMILIN2 通过与共表达网络中的其他转录本相互作用被证明发挥了关键作用。这些关键转录本可能会影响急性 KD 患者对 IVIG 治疗的临床反应。这些转录本可能成为生物标志物和治疗靶点,用于无反应者的精准诊断和治疗。

https://cdn.ncbi.nlm.nih.gov/pmc/blobs/29b2/7575539/7416a0be4cea/41598_2020_75039_Fig1_HTML.jpg

文献AI研究员

20分钟写一篇综述,助力文献阅读效率提升50倍。

立即体验

用中文搜PubMed

大模型驱动的PubMed中文搜索引擎

马上搜索

文档翻译

学术文献翻译模型,支持多种主流文档格式。

立即体验