• 文献检索
  • 文档翻译
  • 深度研究
  • 学术资讯
  • Suppr Zotero 插件Zotero 插件
  • 邀请有礼
  • 套餐&价格
  • 历史记录
应用&插件
Suppr Zotero 插件Zotero 插件浏览器插件Mac 客户端Windows 客户端微信小程序
定价
高级版会员购买积分包购买API积分包
服务
文献检索文档翻译深度研究API 文档MCP 服务
关于我们
关于 Suppr公司介绍联系我们用户协议隐私条款
关注我们

Suppr 超能文献

核心技术专利:CN118964589B侵权必究
粤ICP备2023148730 号-1Suppr @ 2026

文献检索

告别复杂PubMed语法,用中文像聊天一样搜索,搜遍4000万医学文献。AI智能推荐,让科研检索更轻松。

立即免费搜索

文件翻译

保留排版,准确专业,支持PDF/Word/PPT等文件格式,支持 12+语言互译。

免费翻译文档

深度研究

AI帮你快速写综述,25分钟生成高质量综述,智能提取关键信息,辅助科研写作。

立即免费体验

血竭减轻小鼠2/3部分肝切除术后的急性肝损伤并促进肝再生。

Resina Draconis Reduces Acute Liver Injury and Promotes Liver Regeneration after 2/3 Partial Hepatectomy in Mice.

作者信息

He Zhi-Yong, Lou Kai-Han, Zhao Jia-Hui, Zhang Ming, Zhang Lan-Chun, Li Ju, Yu Hao-Fei, Zhang Rong-Ping, Wei-Yan Hu

机构信息

The Key Laboratory of Stem Cell and Regenerative Medicine, Institute of Molecular and Clinical Medicine, Kunming Medical University, Kunming 650500, China.

Monash Immune Regeneration and Neuroscience Laboratories, Department of Anatomy and Developmental Biology, Monash University, Clayton, Melbourne 3800, Australia.

出版信息

Evid Based Complement Alternat Med. 2020 Oct 7;2020:2305784. doi: 10.1155/2020/2305784. eCollection 2020.

DOI:10.1155/2020/2305784
PMID:33082819
原文链接:https://pmc.ncbi.nlm.nih.gov/articles/PMC7563078/
Abstract

AIM

To investigate the protective effects and possible mechanisms of action of resina draconis (RD) on acute liver injury and liver regeneration after 2/3 partial hepatectomy (PH) in mice.

METHODS

2/3 PH was used to induce acute liver injury. Mice were divided into three groups: sham, vehicle + 2/3 PH, and RD + 2/3 PH. Resina draconis was administered intragastrically after 2/3 PH into the RD + 2/3 PH group, and the same volume of vehicle (1% sodium carboxymethyl cellulose) was injected into the vehicle + 2/3 PH group and sham group mice. The index of liver to body weight (ILBW) and proliferating cell nuclear antigen (PCNA) were assayed to evaluate liver regeneration. Blood and liver tissues were collected for serological and western blotting analysis.

RESULTS

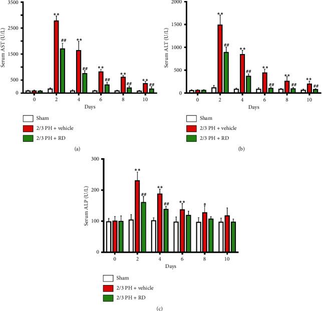
Resina draconis protected against 2/3 PH-induced acute severe liver injury and promoted liver regeneration as shown by significantly increased ILBW compared with that of controls. 2/3 PH increased serum AST and ALT levels, which were significantly decreased by RD treatment, while 2/3 PH decreased serum TP and ALB, which were increased by RD treatment. In the RD + 2/3 PH group, PCNA expression was significantly increased compared with the 2/3 PH group. Further, hepatocyte growth factor (HGF), TNF, and EGFR levels were increased in the RD group at postoperative days 2 and 4 compared with the those in the 2/3 PH group.

CONCLUSION

Our results suggest that RD ameliorates acute hepatic injury and promotes liver cell proliferation, liver weight restoration, and liver function after 2/3 PH, probably via HGF, TNF, and EGFR signaling.

摘要

目的

探讨血竭对小鼠2/3部分肝切除(PH)后急性肝损伤及肝再生的保护作用及其可能的作用机制。

方法

采用2/3 PH诱导急性肝损伤。将小鼠分为三组:假手术组、溶剂+2/3 PH组和血竭+2/3 PH组。2/3 PH术后对血竭+2/3 PH组小鼠进行灌胃给予血竭,对溶剂+2/3 PH组和假手术组小鼠注射相同体积的溶剂(1%羧甲基纤维素钠)。检测肝重与体重比值(ILBW)和增殖细胞核抗原(PCNA)以评估肝再生情况。采集血液和肝组织进行血清学和蛋白质印迹分析。

结果

血竭可预防2/3 PH诱导的急性严重肝损伤,并促进肝再生,与对照组相比,ILBW显著增加。2/3 PH可使血清AST和ALT水平升高,血竭治疗可使其显著降低,而2/3 PH可使血清TP和ALB降低,血竭治疗可使其升高。与2/3 PH组相比,血竭+2/3 PH组PCNA表达显著增加。此外,与2/3 PH组相比,血竭组术后第2天和第4天肝细胞生长因子(HGF)、肿瘤坏死因子(TNF)和表皮生长因子受体(EGFR)水平升高。

结论

我们的结果表明,血竭可改善2/3 PH后的急性肝损伤,促进肝细胞增殖、肝重恢复和肝功能,可能是通过HGF、TNF和EGFR信号通路实现的。

https://cdn.ncbi.nlm.nih.gov/pmc/blobs/6922/7563078/89b7d3b8aa1b/ECAM2020-2305784.005.jpg
https://cdn.ncbi.nlm.nih.gov/pmc/blobs/6922/7563078/d1d7ee673193/ECAM2020-2305784.001.jpg
https://cdn.ncbi.nlm.nih.gov/pmc/blobs/6922/7563078/c89496a103d1/ECAM2020-2305784.002.jpg
https://cdn.ncbi.nlm.nih.gov/pmc/blobs/6922/7563078/2e26a6f17c90/ECAM2020-2305784.003.jpg
https://cdn.ncbi.nlm.nih.gov/pmc/blobs/6922/7563078/72803e52f8a3/ECAM2020-2305784.004.jpg
https://cdn.ncbi.nlm.nih.gov/pmc/blobs/6922/7563078/89b7d3b8aa1b/ECAM2020-2305784.005.jpg
https://cdn.ncbi.nlm.nih.gov/pmc/blobs/6922/7563078/d1d7ee673193/ECAM2020-2305784.001.jpg
https://cdn.ncbi.nlm.nih.gov/pmc/blobs/6922/7563078/c89496a103d1/ECAM2020-2305784.002.jpg
https://cdn.ncbi.nlm.nih.gov/pmc/blobs/6922/7563078/2e26a6f17c90/ECAM2020-2305784.003.jpg
https://cdn.ncbi.nlm.nih.gov/pmc/blobs/6922/7563078/72803e52f8a3/ECAM2020-2305784.004.jpg
https://cdn.ncbi.nlm.nih.gov/pmc/blobs/6922/7563078/89b7d3b8aa1b/ECAM2020-2305784.005.jpg

相似文献

1
Resina Draconis Reduces Acute Liver Injury and Promotes Liver Regeneration after 2/3 Partial Hepatectomy in Mice.血竭减轻小鼠2/3部分肝切除术后的急性肝损伤并促进肝再生。
Evid Based Complement Alternat Med. 2020 Oct 7;2020:2305784. doi: 10.1155/2020/2305784. eCollection 2020.
2
MiR-34a affects hepatocyte proliferation during hepatocyte regeneration through regulating Notch/HIF-1α signaling pathway.miR-34a 通过调控 Notch/HIF-1α 信号通路影响肝再生过程中肝细胞的增殖。
Eur Rev Med Pharmacol Sci. 2019 Apr;23(8):3503-3511. doi: 10.26355/eurrev_201904_17716.
3
Rosmarinic acid stimulates liver regeneration through the mTOR pathway.迷迭香酸通过mTOR信号通路刺激肝脏再生。
Phytomedicine. 2016 Dec 1;23(13):1574-1582. doi: 10.1016/j.phymed.2016.09.010. Epub 2016 Sep 30.
4
Resina Draconis Particles Encapsulated in a Hyaluronic-Acid-Based Hydrogel to Treat Complex Burn Wounds.包裹于透明质酸基水凝胶中的血竭颗粒用于治疗复杂烧伤创面
Pharmaceutics. 2022 Sep 29;14(10):2087. doi: 10.3390/pharmaceutics14102087.
5
Comparison of microemulsion electrokinetic chromatography with high-performance liquid chromatography for fingerprint analysis of resina draconis.微乳液电动色谱法与高效液相色谱法用于血竭指纹图谱分析的比较
Anal Bioanal Chem. 2008 Nov;392(5):1003-10. doi: 10.1007/s00216-008-2337-9. Epub 2008 Aug 30.
6
mTOR signaling in liver regeneration: Rapamycin combined with growth factor treatment.肝脏再生中的mTOR信号传导:雷帕霉素与生长因子联合治疗。
World J Transplant. 2013 Sep 24;3(3):36-47. doi: 10.5500/wjt.v3.i3.36.
7
Heat-shock pre-treatment reduces liver injury and aids liver recovery after partial hepatectomy in mice.热休克预处理可减轻小鼠部分肝切除术后的肝损伤并促进肝恢复。
Anticancer Res. 2013 Jul;33(7):2887-94.
8
Angiotensin II regulates liver regeneration via type 1 receptor following partial hepatectomy in mice.在小鼠部分肝切除术后,血管紧张素II通过1型受体调节肝脏再生。
Biol Pharm Bull. 2008 Jul;31(7):1356-61. doi: 10.1248/bpb.31.1356.
9
The adipose-derived mesenchymal stem cell secretome promotes hepatic regeneration in miniature pigs after liver ischaemia-reperfusion combined with partial resection.脂肪间充质干细胞分泌组促进小型猪肝缺血再灌注联合部分切除术后的肝再生。
Stem Cell Res Ther. 2021 Mar 30;12(1):218. doi: 10.1186/s13287-021-02284-y.
10
Rapid Evaluation of Chemical Consistency of Artificially Induced and Natural Resina Draconis Using Ultra-Performance Liquid Chromatography Quadrupole-Time-of-Flight Mass Spectrometry-Based Chemical Profiling.采用超高效液相色谱-四极杆飞行时间质谱法的化学特征图谱快速评价人工诱导与天然血竭的化学成分一致性。
Molecules. 2018 Jul 25;23(8):1850. doi: 10.3390/molecules23081850.

引用本文的文献

1
Luteolin attenuates inflammation and apoptosis in LPS-induced ALI mice by activating the HGF/c-Met pathway.木犀草素通过激活HGF/c-Met通路减轻脂多糖诱导的急性肺损伤小鼠的炎症和凋亡。
Front Pharmacol. 2025 Jul 29;16:1641486. doi: 10.3389/fphar.2025.1641486. eCollection 2025.
2
Signaling pathways of liver regeneration: Biological mechanisms and implications.肝脏再生的信号通路:生物学机制及意义
iScience. 2023 Dec 7;27(1):108683. doi: 10.1016/j.isci.2023.108683. eCollection 2024 Jan 19.
3
HGF/c-Met: A Key Promoter in Liver Regeneration.

本文引用的文献

1
Phenolic constituents, pharmacological activities, quality control, and metabolism of Dracaena species: A review.龙血树属植物的酚类成分、药理活性、质量控制和代谢:综述。
J Ethnopharmacol. 2019 Nov 15;244:112138. doi: 10.1016/j.jep.2019.112138. Epub 2019 Aug 4.
2
[Anti-tumor activity of HIS-4,a biflavonoid from Resina draconis,on human hepatoma HepG2 and SK-HEP-1 cells].[血竭中双黄酮HIS-4对人肝癌HepG2和SK-HEP-1细胞的抗肿瘤活性]
Zhongguo Zhong Yao Za Zhi. 2019 Apr;44(7):1442-1449. doi: 10.19540/j.cnki.cjcmm.20190218.001.
3
ZBTB20 regulates EGFR expression and hepatocyte proliferation in mouse liver regeneration.
肝细胞生长因子/肝细胞生长因子受体:肝脏再生的关键促进因子。
Front Pharmacol. 2022 Mar 17;13:808855. doi: 10.3389/fphar.2022.808855. eCollection 2022.
ZBTB20 调节 EGFR 表达和小鼠肝再生中的肝细胞增殖。
Cell Death Dis. 2018 May 1;9(5):462. doi: 10.1038/s41419-018-0514-0.
4
Therapeutic effects of hepatocyte growth factor-overexpressing dental pulp stem cells on liver cirrhosis in a rat model.肝细胞生长因子过表达牙髓干细胞对大鼠肝硬化模型的治疗作用。
Sci Rep. 2017 Nov 17;7(1):15812. doi: 10.1038/s41598-017-14995-5.
5
G0S2a1 (G0/G1 switch gene 2a1) is downregulated by TNF-α in grass carp (Ctenopharyngodon idellus) hepatocytes through PPARα inhibition.G0S2a1(G0/G1转换基因2a1)在草鱼(Ctenopharyngodon idellus)肝细胞中通过抑制PPARα被TNF-α下调。
Gene. 2018 Jan 30;641:1-7. doi: 10.1016/j.gene.2017.10.040. Epub 2017 Oct 14.
6
Deficiency of periostin impairs liver regeneration in mice after partial hepatectomy.骨膜蛋白缺失可损害小鼠肝部分切除术后的肝再生。
Matrix Biol. 2018 Mar;66:81-92. doi: 10.1016/j.matbio.2017.09.004. Epub 2017 Sep 28.
7
Dual Role of Epidermal Growth Factor Receptor in Liver Injury and Regeneration after Acetaminophen Overdose in Mice.表皮生长因子受体在小鼠对乙酰氨基酚过量服用后的肝损伤及肝再生中的双重作用
Toxicol Sci. 2017 Feb;155(2):363-378. doi: 10.1093/toxsci/kfw213. Epub 2016 Oct 23.
8
Hepatocyte growth factor in physiology and infectious diseases.生理与感染性疾病中的肝细胞生长因子
Cytokine. 2017 Oct;98:97-106. doi: 10.1016/j.cyto.2016.12.025. Epub 2017 Jan 13.
9
Rosmarinic acid stimulates liver regeneration through the mTOR pathway.迷迭香酸通过mTOR信号通路刺激肝脏再生。
Phytomedicine. 2016 Dec 1;23(13):1574-1582. doi: 10.1016/j.phymed.2016.09.010. Epub 2016 Sep 30.
10
The anticancer effects of Resina Draconis extract on cholangiocarcinoma.血竭提取物对胆管癌的抗癌作用。
Tumour Biol. 2016 Nov;37(11):15203-15210. doi: 10.1007/s13277-016-5393-3. Epub 2016 Sep 28.