• 文献检索
  • 文档翻译
  • 深度研究
  • 学术资讯
  • Suppr Zotero 插件Zotero 插件
  • 邀请有礼
  • 套餐&价格
  • 历史记录
应用&插件
Suppr Zotero 插件Zotero 插件浏览器插件Mac 客户端Windows 客户端微信小程序
定价
高级版会员购买积分包购买API积分包
服务
文献检索文档翻译深度研究API 文档MCP 服务
关于我们
关于 Suppr公司介绍联系我们用户协议隐私条款
关注我们

Suppr 超能文献

核心技术专利:CN118964589B侵权必究
粤ICP备2023148730 号-1Suppr @ 2026

文献检索

告别复杂PubMed语法,用中文像聊天一样搜索,搜遍4000万医学文献。AI智能推荐,让科研检索更轻松。

立即免费搜索

文件翻译

保留排版,准确专业,支持PDF/Word/PPT等文件格式,支持 12+语言互译。

免费翻译文档

深度研究

AI帮你快速写综述,25分钟生成高质量综述,智能提取关键信息,辅助科研写作。

立即免费体验

恒星群聚塑造了行星系统的结构。

Stellar clustering shapes the architecture of planetary systems.

机构信息

Astronomisches Rechen-Institut, Zentrum für Astronomie der Universität Heidelberg, Heidelberg, Germany.

School of Physics and Astronomy, University of Leicester, Leicester, UK.

出版信息

Nature. 2020 Oct;586(7830):528-532. doi: 10.1038/s41586-020-2800-0. Epub 2020 Oct 21.

DOI:10.1038/s41586-020-2800-0
PMID:33087913
原文链接:https://pmc.ncbi.nlm.nih.gov/articles/PMC7116760/
Abstract

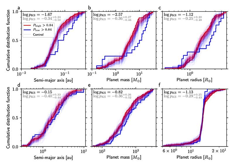
Planet formation is generally described in terms of a system containing the host star and a protoplanetary disk, of which the internal properties (for example, mass and metallicity) determine the properties of the resulting planetary system. However, (proto)planetary systems are predicted and observed to be affected by the spatially clustered stellar formation environment, through either dynamical star-star interactions or external photoevaporation by nearby massive stars. It is challenging to quantify how the architecture of planetary sysems is affected by these environmental processes, because stellar groups spatially disperse within less than a billion years, well below the ages of most known exoplanets. Here we identify old, co-moving stellar groups around exoplanet host stars in the astrometric data from the Gaia satellite and demonstrate that the architecture of planetary systems exhibits a strong dependence on local stellar clustering in position-velocity phase space. After controlling for host stellar age, mass, metallicity and distance from the star, we obtain highly significant differences (with p values of 10 to 10) in planetary system properties between phase space overdensities (composed of a greater number of co-moving stars than unstructured space) and the field. The median semi-major axis and orbital period of planets in phase space overdensities are 0.087 astronomical units and 9.6 days, respectively, compared to 0.81 astronomical units and 154 days, respectively, for planets around field stars. 'Hot Jupiters' (massive, short-period exoplanets) predominantly exist in stellar phase space overdensities, strongly suggesting that their extreme orbits originate from environmental perturbations rather than internal migration or planet-planet scattering. Our findings reveal that stellar clustering is a key factor setting the architectures of planetary systems.

摘要

行星形成通常用包含主星和原行星盘的系统来描述,其中内部特性(例如质量和金属丰度)决定了最终行星系统的特性。然而,(原)行星系统被预测和观测到受到恒星形成环境中空间聚集的影响,这种影响通过恒星之间的动力学相互作用或附近大质量恒星的外部光蒸发来实现。量化行星系统的结构如何受到这些环境过程的影响具有挑战性,因为恒星群在不到 10 亿年的时间内就会在空间上分散,远低于大多数已知系外行星的年龄。在这里,我们在 Gaia 卫星的天体测量数据中识别出围绕系外行星宿主恒星的古老共动恒星群,并证明行星系统的结构在位置-速度相空间中强烈依赖于局部恒星聚集。在控制了宿主恒星的年龄、质量、金属丰度和与恒星的距离后,我们在行星系统特性方面获得了高度显著的差异(p 值为 10 到 10),即在相空间过密度(由比无结构空间更多的共动恒星组成)和场之间。相空间过密度中行星的半长轴和轨道周期的中位数分别为 0.087 天文单位和 9.6 天,而场中恒星周围行星的半长轴和轨道周期中位数分别为 0.81 天文单位和 154 天。“热木星”(质量大、短周期的系外行星)主要存在于恒星相空间过密度中,这强烈表明它们极端的轨道起源于环境扰动,而不是内部迁移或行星-行星散射。我们的发现表明,恒星聚集是设定行星系统结构的关键因素。

https://cdn.ncbi.nlm.nih.gov/pmc/blobs/b087/7116760/24075e7ecbe3/EMS114638-f003.jpg
https://cdn.ncbi.nlm.nih.gov/pmc/blobs/b087/7116760/10c4f2a9fc4c/EMS114638-f004.jpg
https://cdn.ncbi.nlm.nih.gov/pmc/blobs/b087/7116760/c3f96089238c/EMS114638-f005.jpg
https://cdn.ncbi.nlm.nih.gov/pmc/blobs/b087/7116760/ba6a233c9e28/EMS114638-f006.jpg
https://cdn.ncbi.nlm.nih.gov/pmc/blobs/b087/7116760/f501866f3d0b/EMS114638-f007.jpg
https://cdn.ncbi.nlm.nih.gov/pmc/blobs/b087/7116760/5e580d9b0d29/EMS114638-f008.jpg
https://cdn.ncbi.nlm.nih.gov/pmc/blobs/b087/7116760/092e01a0db93/EMS114638-f009.jpg
https://cdn.ncbi.nlm.nih.gov/pmc/blobs/b087/7116760/eecd75f69cfb/EMS114638-f010.jpg
https://cdn.ncbi.nlm.nih.gov/pmc/blobs/b087/7116760/46d3dc754c20/EMS114638-f011.jpg
https://cdn.ncbi.nlm.nih.gov/pmc/blobs/b087/7116760/bd6555c90e6f/EMS114638-f012.jpg
https://cdn.ncbi.nlm.nih.gov/pmc/blobs/b087/7116760/3e078186f704/EMS114638-f013.jpg
https://cdn.ncbi.nlm.nih.gov/pmc/blobs/b087/7116760/1d23b853cbb5/EMS114638-f001.jpg
https://cdn.ncbi.nlm.nih.gov/pmc/blobs/b087/7116760/1c83c42a519a/EMS114638-f002.jpg
https://cdn.ncbi.nlm.nih.gov/pmc/blobs/b087/7116760/24075e7ecbe3/EMS114638-f003.jpg
https://cdn.ncbi.nlm.nih.gov/pmc/blobs/b087/7116760/10c4f2a9fc4c/EMS114638-f004.jpg
https://cdn.ncbi.nlm.nih.gov/pmc/blobs/b087/7116760/c3f96089238c/EMS114638-f005.jpg
https://cdn.ncbi.nlm.nih.gov/pmc/blobs/b087/7116760/ba6a233c9e28/EMS114638-f006.jpg
https://cdn.ncbi.nlm.nih.gov/pmc/blobs/b087/7116760/f501866f3d0b/EMS114638-f007.jpg
https://cdn.ncbi.nlm.nih.gov/pmc/blobs/b087/7116760/5e580d9b0d29/EMS114638-f008.jpg
https://cdn.ncbi.nlm.nih.gov/pmc/blobs/b087/7116760/092e01a0db93/EMS114638-f009.jpg
https://cdn.ncbi.nlm.nih.gov/pmc/blobs/b087/7116760/eecd75f69cfb/EMS114638-f010.jpg
https://cdn.ncbi.nlm.nih.gov/pmc/blobs/b087/7116760/46d3dc754c20/EMS114638-f011.jpg
https://cdn.ncbi.nlm.nih.gov/pmc/blobs/b087/7116760/bd6555c90e6f/EMS114638-f012.jpg
https://cdn.ncbi.nlm.nih.gov/pmc/blobs/b087/7116760/3e078186f704/EMS114638-f013.jpg
https://cdn.ncbi.nlm.nih.gov/pmc/blobs/b087/7116760/1d23b853cbb5/EMS114638-f001.jpg
https://cdn.ncbi.nlm.nih.gov/pmc/blobs/b087/7116760/1c83c42a519a/EMS114638-f002.jpg
https://cdn.ncbi.nlm.nih.gov/pmc/blobs/b087/7116760/24075e7ecbe3/EMS114638-f003.jpg

相似文献

1
Stellar clustering shapes the architecture of planetary systems.恒星群聚塑造了行星系统的结构。
Nature. 2020 Oct;586(7830):528-532. doi: 10.1038/s41586-020-2800-0. Epub 2020 Oct 21.
2
M stars as targets for terrestrial exoplanet searches and biosignature detection.M型恒星作为类地系外行星搜索和生物特征探测的目标。
Astrobiology. 2007 Feb;7(1):85-166. doi: 10.1089/ast.2006.0125.
3
A primordial origin for misalignments between stellar spin axes and planetary orbits.恒星自转轴和行星轨道之间的不对准现象的原始起源。
Nature. 2012 Nov 15;491(7424):418-20. doi: 10.1038/nature11560.
4
Planetary system disruption by Galactic perturbations to wide binary stars.星系摄动对宽双星系统的行星系统干扰。
Nature. 2013 Jan 17;493(7432):381-4. doi: 10.1038/nature11780. Epub 2013 Jan 6.
5
Alignment of the stellar spin with the orbits of a three-planet system.恒星自转与三星系统轨道的共线排列。
Nature. 2012 Jul 25;487(7408):449-53. doi: 10.1038/nature11301.
6
The birth environment of planetary systems.行星系统的诞生环境。
R Soc Open Sci. 2020 Nov 25;7(11):201271. doi: 10.1098/rsos.201271. eCollection 2020 Nov.
7
Coronal mass ejection (CME) activity of low mass M stars as an important factor for the habitability of terrestrial exoplanets. I. CME impact on expected magnetospheres of Earth-like exoplanets in close-in habitable zones.低质量M恒星的日冕物质抛射(CME)活动作为系外类地行星宜居性的一个重要因素。I. CME对近距宜居带类地系外行星预期磁层的影响。
Astrobiology. 2007 Feb;7(1):167-84. doi: 10.1089/ast.2006.0127.
8
A backward-spinning star with two coplanar planets.一颗带有两颗共面行星的逆向旋转恒星。
Proc Natl Acad Sci U S A. 2021 Feb 23;118(8). doi: 10.1073/pnas.2017418118.
9
The evolution of hot Jupiters revealed by the age distribution of their host stars.通过其宿主恒星的年龄分布揭示的热木星的演化。
Proc Natl Acad Sci U S A. 2023 Nov 7;120(45):e2304179120. doi: 10.1073/pnas.2304179120. Epub 2023 Oct 30.
10
EXOPLANET MODULATION OF STELLAR CORONAL RADIO EMISSION.系外行星对恒星日冕射电辐射的调制
Astron J. 2018 Nov;156(5). doi: 10.3847/1538-3881/aae1f2. Epub 2018 Oct 17.

引用本文的文献

1
Planetary population synthesis and the emergence of four classes of planetary system architectures.行星种群合成与四类行星系统结构的出现。
Eur Phys J Plus. 2023;138(2):181. doi: 10.1140/epjp/s13360-023-03784-x. Epub 2023 Feb 27.
2
Exploring the link between star and planet formation with Ariel.利用“阿里尔”号探测器探索恒星与行星形成之间的联系。
Exp Astron (Dordr). 2022;53(2):225-278. doi: 10.1007/s10686-021-09754-4. Epub 2021 Oct 15.
3
Planet population synthesis: the role of stellar encounters.行星种群合成:恒星遭遇的作用。

本文引用的文献

1
Fast and inefficient star formation due to short-lived molecular clouds and rapid feedback.由于短命的分子云以及快速反馈,恒星形成既迅速又低效。
Nature. 2019 May;569(7757):519-522. doi: 10.1038/s41586-019-1194-3. Epub 2019 May 22.
2
Triggered Star Formation inside the Shell of a Wolf-Rayet Bubble as the Origin of the Solar System.作为太阳系起源的,位于沃尔夫-拉叶泡壳层内的触发恒星形成过程
Astrophys J. 2017 Dec 20;851(2). doi: 10.3847/1538-4357/aa992e. Epub 2017 Dec 22.
3
Planetary system disruption by Galactic perturbations to wide binary stars.
Mon Not R Astron Soc. 2022 Mar 3;512(1):861-873. doi: 10.1093/mnras/stac569. eCollection 2022 May.
星系摄动对宽双星系统的行星系统干扰。
Nature. 2013 Jan 17;493(7432):381-4. doi: 10.1038/nature11780. Epub 2013 Jan 6.
4
A primordial origin for misalignments between stellar spin axes and planetary orbits.恒星自转轴和行星轨道之间的不对准现象的原始起源。
Nature. 2012 Nov 15;491(7424):418-20. doi: 10.1038/nature11560.
5
Dynamical Instabilities and the Formation of Extrasolar Planetary Systems.动力学不稳定性与太阳系外行星系统的形成
Science. 1996 Nov 8;274(5289):954-6. doi: 10.1126/science.274.5289.954.