Suppr超能文献

跨生命周期的情感触觉体验:触觉传记问卷的发展与依恋风格的中介作用。

Affective touch experiences across the lifespan: Development of the Tactile Biography questionnaire and the mediating role of attachment style.

机构信息

Department of Experimental Psychology, Helmholtz Institute, Utrecht University, Utrecht, The Netherlands.

出版信息

PLoS One. 2020 Oct 28;15(10):e0241041. doi: 10.1371/journal.pone.0241041. eCollection 2020.

Abstract

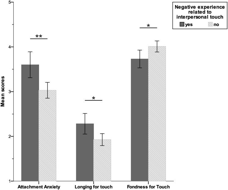
The sense of touch develops early in life and becomes a determinant aspect of our personal narratives, providing crucial information about the world around us and playing a prominent role in affective and social interactions. In this study we aimed to explore whether individual differences in touch experiences across the lifespan are related to adult attachment styles and to perceived touch deprivation. For this we first developed an instrument, namely the Tactile Biography, to quantify individual differences in affective touch experiences throughout life. Secondly, we performed a set of regressions models and a mediation analysis to investigate the role of attachment in relation to both the tactile history and perceived touch deprivation. We found that experiences of affective touch during childhood and adolescence seem to be closely associated with adult attachment styles and adult social touch experiences. Avoidant attachment appears to serve as a mediator in the relationship between earlier (childhood/adolescent) and later (adult) affective touch experiences, as well as between earlier affective touch experiences and perceived touch deprivation. These findings offer further support to existing literature, providing novel insights for the fields of social affective touch and attachment research.

摘要

触觉在生命早期发展,并成为我们个人叙事的决定性方面,提供有关我们周围世界的关键信息,并在情感和社会互动中发挥突出作用。在这项研究中,我们旨在探索一生中的触觉体验个体差异是否与成人依恋风格和感知触觉剥夺有关。为此,我们首先开发了一种工具,即触觉传记,以量化整个生命过程中情感触觉体验的个体差异。其次,我们进行了一系列回归模型和中介分析,以研究依恋在与触觉历史和感知触觉剥夺的关系中的作用。我们发现,儿童和青少年时期的情感触觉体验似乎与成人依恋风格和成人社会触觉体验密切相关。回避型依恋似乎在早期(儿童/青少年)和后期(成人)情感触觉体验之间以及早期情感触觉体验和感知触觉剥夺之间的关系中起中介作用。这些发现为现有文献提供了进一步的支持,为社会情感触觉和依恋研究领域提供了新的见解。

https://cdn.ncbi.nlm.nih.gov/pmc/blobs/5f10/7592771/5772ed76aa7e/pone.0241041.g001.jpg

文献检索

告别复杂PubMed语法,用中文像聊天一样搜索,搜遍4000万医学文献。AI智能推荐,让科研检索更轻松。

立即免费搜索

文件翻译

保留排版,准确专业,支持PDF/Word/PPT等文件格式,支持 12+语言互译。

免费翻译文档

深度研究

AI帮你快速写综述,25分钟生成高质量综述,智能提取关键信息,辅助科研写作。

立即免费体验