Suppr超能文献

合成马卡卢瓦明类似物降低 c-Kit 表达并对神经内分泌肿瘤细胞具有细胞毒性。

Synthetic Makaluvamine Analogs Decrease c-Kit Expression and Are Cytotoxic to Neuroendocrine Tumor Cells.

机构信息

Department of Surgery, University of Alabama at Birmingham, 1824 6th Avenue S., Birmingham, AL 35233, USA.

Department of Chemistry, University of Alabama at Birmingham, 901 14th Street S., Birmingham, AL 35294, USA.

出版信息

Molecules. 2020 Oct 26;25(21):4940. doi: 10.3390/molecules25214940.

Abstract

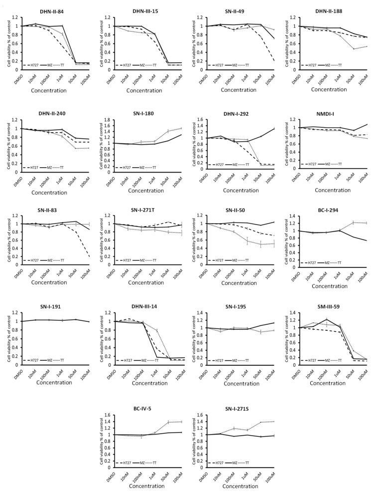
In an effort to discover viable systemic chemotherapeutic agents for neuroendocrine tumors (NETs), we screened a small library of 18 drug-like compounds obtained from the Velu lab against pulmonary (H727) and thyroid (MZ-CRC-1 and TT) neuroendocrine tumor-derived cell lines. Two potent lead compounds (DHN-II-84 and DHN-III-14) identified from this screening were found to be analogs of the natural product makaluvamine. We further characterized the antitumor activities of these two compounds using pulmonary (H727), thyroid (MZ-CRC-1) and pancreatic (BON) neuroendocrine tumor cell lines. Flow cytometry showed a dose-dependent increase in apoptosis in all cell lines. Induction of apoptosis with these compounds was also supported by the decrease in myeloid cell leukemia-1 (MCL-1) and X-chromosome linked inhibitor of apoptosis (XIAP) detected by Western blot. Compound treatment decreased NET markers chromogranin A (CgA) and achaete-scute homolog 1 (ASCL1) in a dose-dependent manner. Moreover, the gene expression analysis showed that the compound treatment reduced c-Kit proto-oncogene expression in the NET cell lines. Induction of apoptosis could also have been caused by the inhibition of c-Kit expression, in addition to the known mechanisms such as damage of DNA by topoisomerase II inhibition for this class of compounds. In summary, makaluvamine analogs DHN-II-84 and DHN-III-14 induced apoptosis, decreased neuroendocrine tumor markers, and showed promising antitumor activity in pulmonary, thyroid, and pancreatic NET cell lines, and hold potential to be developed as an effective treatment to combat neuroendocrine tumors.

摘要

为了寻找可行的神经内分泌肿瘤(NETs)系统化疗药物,我们筛选了一小部分来自 Velu 实验室的 18 种类似药物的化合物,针对肺(H727)和甲状腺(MZ-CRC-1 和 TT)神经内分泌肿瘤衍生细胞系进行筛选。从这次筛选中发现的两种有效的先导化合物(DHN-II-84 和 DHN-III-14)被发现是天然产物 makaluvamine 的类似物。我们使用肺(H727)、甲状腺(MZ-CRC-1)和胰腺(BON)神经内分泌肿瘤细胞系进一步研究了这两种化合物的抗肿瘤活性。流式细胞术显示所有细胞系的细胞凋亡呈剂量依赖性增加。通过 Western blot 检测到髓样细胞白血病-1(MCL-1)和 X 染色体连锁凋亡抑制剂(XIAP)的减少,证实了这些化合物诱导凋亡的作用。化合物处理以剂量依赖的方式降低 NET 标志物嗜铬粒蛋白 A(CgA)和achaete-scute 同源物 1(ASCL1)。此外,基因表达分析显示,化合物处理降低了 NET 细胞系中 c-Kit 原癌基因的表达。除了拓扑异构酶 II 抑制等已知机制对这类化合物造成的 DNA损伤外,凋亡的诱导也可能是由于 c-Kit 表达的抑制。总之,makaluvamine 类似物 DHN-II-84 和 DHN-III-14 诱导细胞凋亡,降低神经内分泌肿瘤标志物,对肺、甲状腺和胰腺 NET 细胞系显示出有希望的抗肿瘤活性,有望开发为治疗神经内分泌肿瘤的有效药物。

https://cdn.ncbi.nlm.nih.gov/pmc/blobs/c5b7/7663375/0f795ce44b55/molecules-25-04940-g001.jpg

文献AI研究员

20分钟写一篇综述,助力文献阅读效率提升50倍。

立即体验

用中文搜PubMed

大模型驱动的PubMed中文搜索引擎

马上搜索

文档翻译

学术文献翻译模型,支持多种主流文档格式。

立即体验