Suppr超能文献

脑膜瘤复发的量化风险评分系统:392例患者的回顾性研究结果

A Quantified Risk-Scoring System for the Recurrence of Meningiomas: Results From a Retrospective Study of 392 Patients.

作者信息

Zhu Zhangzhang, Wang Chengde, Xu Jiadong, Wang Chunyong, Xia Lei, Li Qun, Lu Jianglong, Cai Lin, Zheng Weiming, Su Zhipeng

机构信息

Department of Neurosurgery, First Affiliated Hospital of Wenzhou Medical University, Wenzhou, China.

Department of General Surgery, Zhuji People's Hospital of Zhejiang Province, Shaoxing, China.

出版信息

Front Oncol. 2020 Oct 5;10:585313. doi: 10.3389/fonc.2020.585313. eCollection 2020.

Abstract

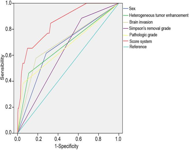
This study aimed to identify the independent risk factors of recurrence in patients undergoing primary resection of meningioma and construct a scoring system for the prediction of the risk of postoperative recurrence. The clinical data of 591 patients who underwent primary surgical resection for meningioma at the First Affiliated Hospital of Wenzhou Medical University between November 2010 and December 2016 were retrospectively reviewed. The clinical, radiological, and pathological characteristics were evaluated, and the independent risk factors for recurrence were identified via receiver operating characteristic (ROC) curve and logistic analyses. A scoring system that included these independent risk factors was used to construct a risk-predicting model that was evaluated via a ROC curve analysis. The recurrences of different subgroups were observed by Kaplan-Meier's curves. The clinical data of 392 patients with meningioma were used to construct the scoring system. The logistic analysis showed that sex (OR = 2.793, 95% CI = 1.076-7.249, = 0.035), heterogeneous tumor enhancement (OR = 4.452, 95% CI = 1.714-11.559, = 0.002), brain invasion (OR = 2.650, 95% CI = 1.043-6.733, = 0.041), Simpson's removal grade (OR = 5.139, 95% CI = 1.355-19.489, = 0.016), and pathological grade (OR = 3.282, 95% CI = 1.123-9.595, = 0.030) were independent risk factors for recurrence. A scoring system was developed and used to divide the patients into the following four subgroups: subgroup 1 with scores of 0-75 ( = 249), subgroup 2 with scores of 76-154 ( = 88), subgroup 3 with scores of 155-215 ( = 46), and subgroup 4 with scores of 216-275 ( = 9). The incidences of recurrence in each subgroup were as follows: subgroup 1, 1.2%; subgroup 2, 5.7%; subgroup 3, 26.1%; and subgroup 4, 66.7% ( < 0.001). The scoring system reliably predicted the postoperative recurrence of meningioma with a high area under the ROC curve. Our scoring system is a simple and reliable instrument for identifying meningioma patients at risk of postoperative recurrence and could help in optimizing individualized clinical treatment.

摘要

本研究旨在确定接受脑膜瘤初次切除术患者复发的独立危险因素,并构建一个预测术后复发风险的评分系统。回顾性分析了2010年11月至2016年12月在温州医科大学附属第一医院接受脑膜瘤初次手术切除的591例患者的临床资料。评估了临床、影像学和病理特征,并通过受试者工作特征(ROC)曲线和逻辑分析确定复发的独立危险因素。使用包含这些独立危险因素的评分系统构建风险预测模型,并通过ROC曲线分析进行评估。通过Kaplan-Meier曲线观察不同亚组的复发情况。392例脑膜瘤患者的临床资料用于构建评分系统。逻辑分析显示,性别(OR = 2.793,95%CI = 1.076 - 7.249,P = 0.035)、肿瘤不均匀强化(OR = 4.452,95%CI = 1.714 - 11.559,P = 0.002)、脑侵犯(OR = 2.650,95%CI = 1.043 - 6.733,P = 0.041)、辛普森切除分级(OR = 5.139,95%CI = 1.355 - 19.489,P = 0.016)和病理分级(OR = 3.282,95%CI = 1.123 - 9.595,P = 0.030)是复发的独立危险因素。开发了一个评分系统,并用于将患者分为以下四个亚组:1组,评分0 - 75分(n = 249);2组,评分76 - 154分(n = 88);3组,评分155 - 215分(n = 46);4组,评分216 - 275分(n = 9)。各亚组的复发率如下:1组为1.2%;2组为5.7%;3组为26.1%;4组为66.7%(P < 0.001)。该评分系统通过ROC曲线下的高面积可靠地预测了脑膜瘤的术后复发。我们的评分系统是一种简单可靠的工具,用于识别有术后复发风险的脑膜瘤患者,并有助于优化个体化临床治疗。

https://cdn.ncbi.nlm.nih.gov/pmc/blobs/6717/7570434/7cd602d63fe5/fonc-10-585313-g0001.jpg

文献检索

告别复杂PubMed语法,用中文像聊天一样搜索,搜遍4000万医学文献。AI智能推荐,让科研检索更轻松。

立即免费搜索

文件翻译

保留排版,准确专业,支持PDF/Word/PPT等文件格式,支持 12+语言互译。

免费翻译文档

深度研究

AI帮你快速写综述,25分钟生成高质量综述,智能提取关键信息,辅助科研写作。

立即免费体验