NCC AB, Gullbergs Strandgata 2, 405 14 Göteborg, Sweden.
Department of Architecture and Civil Engineering, Chalmers University of Technology, 6, 412 96 Göteborg, Sweden.
Int J Environ Res Public Health. 2020 Oct 28;17(21):7909. doi: 10.3390/ijerph17217909.
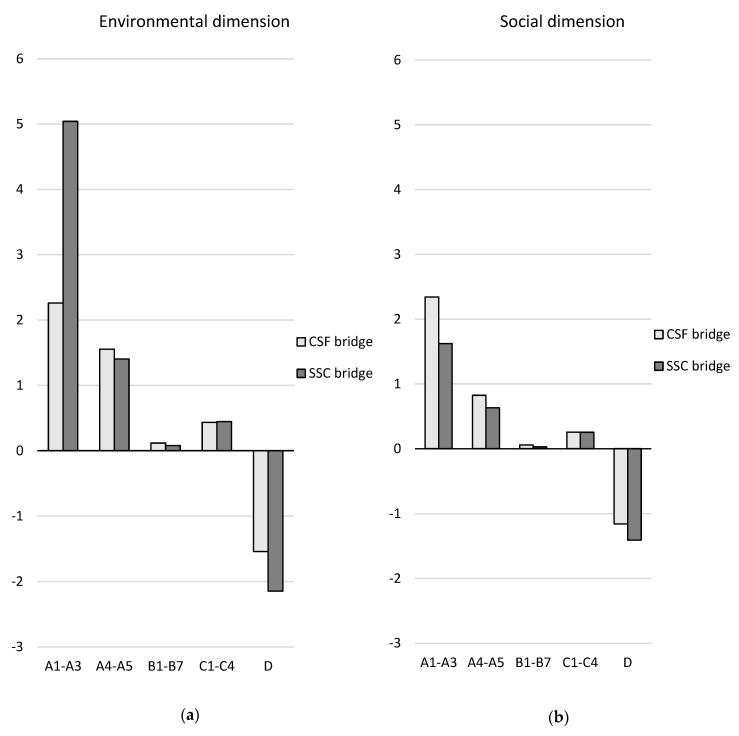
Standardized and transparent life cycle sustainability performance assessment methods are essential for improving the sustainability of civil engineering works. The purpose of this paper is to demonstrate the potential of using a life cycle sustainability assessment method in a road bridge case study. The method is in line with requirements of relevant standards, uses life cycle assessment, life cycle costs and incomes, and environmental externalities, and applies normalization and weighting of indicators. The case study involves a short-span bridge in a design-build infrastructure project, which was selected for its generality. Two bridge design concepts are assessed and compared: a concrete slab frame bridge and a soil-steel composite bridge. Data available in the contractor's tender phase are used. The two primary aims of this study are (1) to analyse the practical application potential of the method in carrying out transparent sustainability assessments of design concepts in the early planning and design stages, and (2) to examine the results obtained in the case study to identify indicators in different life cycle stages and elements of the civil engineering works project with the largest impacts on sustainability. The results show that the method facilitates comparisons of the life cycle sustainability performance of design concepts at the indicator and construction element levels, enabling better-informed and more impartial design decisions to be made.
标准化和透明的生命周期可持续性绩效评估方法对于提高土木工程的可持续性至关重要。本文旨在展示在道路桥梁案例研究中使用生命周期可持续性评估方法的潜力。该方法符合相关标准的要求,使用生命周期评估、生命周期成本和收益以及环境外部性,并应用指标的归一化和加权。案例研究涉及设计-建造基础设施项目中的一座短跨桥梁,选择该桥梁是因为其具有通用性。评估和比较了两种桥梁设计概念:混凝土板框架桥和土-钢组合桥。使用承包商招标阶段提供的数据。本研究的两个主要目的是:(1)分析该方法在早期规划和设计阶段对设计概念进行透明可持续性评估的实际应用潜力;(2)通过案例研究检查结果,确定对可持续性影响最大的不同生命周期阶段和土木工程工程项目要素的指标。结果表明,该方法有助于在指标和施工要素层面比较设计概念的生命周期可持续性绩效,从而能够做出更明智和更公正的设计决策。