Suppr超能文献

荷兰含唑类杀菌剂植物废物中烟曲霉的动态(2016-2017 年)。

Dynamics of Aspergillus fumigatus in Azole Fungicide-Containing Plant Waste in the Netherlands (2016-2017).

机构信息

Laboratory of Genetics, Wageningen University, Wageningen, the Netherlands

Laboratory of Genetics, Wageningen University, Wageningen, the Netherlands.

出版信息

Appl Environ Microbiol. 2021 Jan 4;87(2). doi: 10.1128/AEM.02295-20.

Abstract

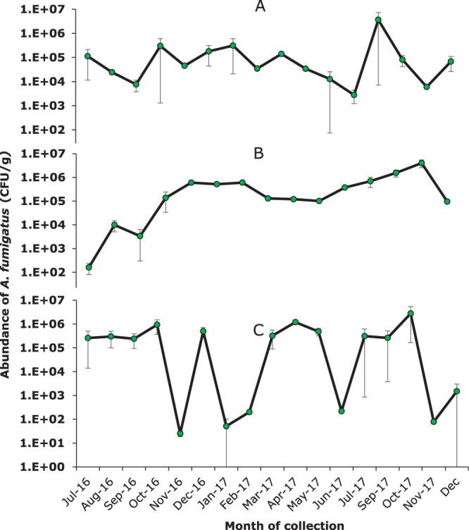
The treatment of patients suffering from diseases is hampered due to infections with that are already resistant to medical azoles. Previous work has suggested that likely gains resistance through environmental azole exposure in so-called hot spots. Here, we investigated resistance dynamics over time at three sites at which farmers used azole fungicides for crop protection. Over 16 months, 114 samples were taken from stockpiles of decaying plant waste. and azole fungicide residues were ubiquitously present in the plant waste. On average, 10 CFU/g was recovered, of which roughly half were itraconazole and tebuconazole resistant. Similar tandem repeat-mediated resistance mechanisms were found in colonies cultured from plant waste as reported in clinical azole-resistant isolates. Our results show a consistent high burden of azole-resistant in azole-containing plant waste and underscores the need to further investigate resistance-reducing interventions and transmission routes. is consistently present independently on season at a high abundance in plant waste material throughout the sampling period. Our study confirmed that long-term storage sites of azole-containing decaying plant material can indeed be considered hot spots, which can sustain resistance development and maintenance in Roughly half of individual isolates were azole resistant and carried genetic mutations that are highly similar to those found in patients with azole-resistant invasive aspergillosis. Our work suggests that environmental sources of azole resistance in may be important, underscoring the need for further studies on environment-to-patient transmission routes.

摘要

由于已经对医学唑类药物具有抗性的 感染,患 疾病的患者的治疗受到阻碍。先前的工作表明, 可能会通过所谓的热点中的环境唑暴露而获得抗性。在这里,我们在三个农民使用唑类杀真菌剂进行作物保护的地点调查了随时间推移的 抗性动态。在 16 个月的时间里,从腐烂植物废物的库存中采集了 114 个样本。 和唑类杀真菌剂残留普遍存在于植物废物中。平均而言,每克回收 10 CFU,其中大约一半是伊曲康唑和特比萘芬耐药的。从植物废物中培养的菌落中发现了类似的串联重复介导的抗性机制,如临床唑类耐药分离株中报道的那样。我们的结果表明,在含有唑类的植物废物中,唑类耐药 的负担一直很高,这突显了需要进一步研究减少抗性的干预措施和传播途径。 在整个采样期间,无论季节如何, 在含有唑类的植物废物中始终以高丰度存在。我们的研究证实,含有唑类的腐烂植物材料的长期储存地点确实可以被视为热点,这些热点可以维持 中抗性的发展和维持。大约一半的单个分离株对唑类具有抗性,并携带与唑类耐药侵袭性曲霉菌病患者中发现的高度相似的基因突变。我们的工作表明, 中环境来源的唑类耐药可能很重要,这突显了需要进一步研究环境到患者的传播途径。

https://cdn.ncbi.nlm.nih.gov/pmc/blobs/eded/7783342/309f00a23d08/AEM.02295-20-f0001.jpg

文献AI研究员

20分钟写一篇综述,助力文献阅读效率提升50倍。

立即体验

用中文搜PubMed

大模型驱动的PubMed中文搜索引擎

马上搜索

文档翻译

学术文献翻译模型,支持多种主流文档格式。

立即体验