Manchester Institute of Nephrology and Transplantation, Manchester University NHS Foundation Trust, Manchester, United Kingdom.
Manchester Academic Health Sciences Centre (MAHSC), Manchester, United Kingdom.
PLoS One. 2020 Nov 3;15(11):e0241544. doi: 10.1371/journal.pone.0241544. eCollection 2020.
COVID-19 has spread globally to now be considered a pandemic by the World Health Organisation. Initially patients appeared to have a respiratory limited disease but there are now increasing reports of multiple organ involvement including renal disease in association with COVID-19. We studied the development and outcomes of acute kidney injury (AKI) in patients with COVID-19, in a large multicultural city hospital trust in the UK, to better understand the role renal disease has in the disease process.
This was a retrospective review using electronic records and laboratory data of adult patients admitted to the four Manchester University Foundation Trust Hospitals between March 10 and April 30 2020 with a diagnosis of COVID-19. Records were reviewed for baseline characteristics, medications, comorbidities, social deprivation index, observations, biochemistry and outcomes including mortality, admission to critical care, mechanical ventilation and the need for renal replacement therapy.
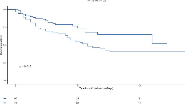
There were 1032 patients included in the study of whom 210 (20.3%) had AKI in association with the diagnosis of COVID-19. The overall mortality with AKI was considerably higher at 52.4% compared to 26.3% without AKI (p-value <0.001). More patients with AKI required escalation to critical care (34.8% vs 11.2%, p-value <0.001). Following admission to critical care those with AKI were more likely to die (54.8% vs 25.0%, p-value <0.001) and more likely to require mechanical ventilation (86.3% vs 66.3%, p-value 0.006).
We have shown that the development of AKI is associated with dramatically worse outcomes for patients, in both mortality and the requirement for critical care. Patients with COVID-19 presenting with, or at risk of AKI should be closely monitored and appropriately managed to prevent any decline in renal function, given the significant risk of deterioration and death.
COVID-19 已在全球范围内传播,世界卫生组织现已将其视为大流行。最初患者似乎患有呼吸系统受限疾病,但现在越来越多的报告显示,COVID-19 与多种器官受累有关,包括肾脏疾病。我们研究了在英国一家大型多元文化城市医院信托中 COVID-19 患者急性肾损伤 (AKI) 的发生和结局,以更好地了解肾脏疾病在疾病过程中的作用。
这是一项使用电子记录和实验室数据对 2020 年 3 月 10 日至 4 月 30 日期间在曼彻斯特大学四所基金会信托医院住院的确诊为 COVID-19 的成年患者进行的回顾性研究。记录了患者的基线特征、药物、合并症、社会剥夺指数、观察结果、生物化学和结局,包括死亡率、入住重症监护病房、机械通气和需要肾脏替代治疗。
共有 1032 名患者纳入研究,其中 210 名(20.3%)与 COVID-19 诊断相关的 AKI。与无 AKI 患者相比(26.3%),AKI 患者的总体死亡率明显更高(52.4% vs. 26.3%,p 值<0.001)。需要升级到重症监护的 AKI 患者比例也明显更高(34.8% vs. 11.2%,p 值<0.001)。入住重症监护病房后,AKI 患者的死亡率更高(54.8% vs. 25.0%,p 值<0.001),需要机械通气的可能性也更高(86.3% vs. 66.3%,p 值=0.006)。
我们表明,AKI 的发生与患者的结局明显恶化有关,包括死亡率和对重症监护的需求。对于有 AKI 或有 AKI 风险的 COVID-19 患者,应密切监测并进行适当管理,以防止肾功能下降,因为肾功能恶化和死亡的风险很高。