Suppr超能文献

采用增材制造和传统方法制备并承受动态载荷的316L钢的微观结构演变:一项对比研究。

Microstructure Evolution of 316L Steel Prepared with the Use of Additive and Conventional Methods and Subjected to Dynamic Loads: A Comparative Study.

作者信息

Ziętala Michał, Durejko Tomasz, Panowicz Robert, Konarzewski Marcin

机构信息

Department of Materials Technology, Military University of Technology, Gen. Kaliskiego Str. 2, 00-908 Warsaw, Poland.

Faculty of Mechanical Engineering, Military University of Technology, Gen. Kaliskiego Str. 2, 00-908 Warsaw, Poland.

出版信息

Materials (Basel). 2020 Oct 31;13(21):4893. doi: 10.3390/ma13214893.

Abstract

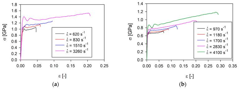
The mechanical properties and microstructure evolution caused by dynamic loads of 316L stainless steel, fabricated using the Laser Engineered Net Shaping (LENS) technique and hot forging method were studied. Full-density samples, without cracks made of 316L stainless steel alloy powder by using the LENS technique, are characterized by an untypical bi-modal microstructure consisting of macro-grains, which form sub-grains with a similar crystallographic orientation. Wrought stainless steel 316L has an initial equiaxed and one-phase structure, which is formed by austenite grains. The electron backscattered diffraction (EBSD) technique was used to illustrate changes in the microstructure of SS316L after it was subjected to dynamic loads, and it was revealed that for both samples, the grain refinement increases as the deformation rate increases. However, in the case of SS316L samples made by LENS, the share of low-angle boundaries (sub-grains) decreases, and the share of high-angle boundaries (grains of austenite) increases. Dynamically deformed wrought SS316L is characterized by the reverse trend: a decrease in the share of high-angle boundaries and an increase in the share of low-angle boundaries. Moreover, additively manufactured SS316L is characterized by lower plastic flow stresses compared with hot-forged steel, which is caused by the finer microstructure of wrought samples relative to that of additive samples. In the case of additively manufactured 316L steel samples subjected to a dynamic load, plastic deformation occurs predominantly through dislocation slip, in contrast to the wrought samples, in which the dominant mechanism of deformation is twinning, which is favored by a high deformation speed and low stacking fault energy (SFE) for austenite.

摘要

研究了采用激光工程净成形(LENS)技术和热锻方法制备的316L不锈钢在动态载荷作用下的力学性能和微观结构演变。使用LENS技术由316L不锈钢合金粉末制成的无裂纹全密度样品,其特征在于具有由大晶粒组成的非典型双峰微观结构,这些大晶粒形成具有相似晶体取向的亚晶粒。锻造不锈钢316L具有初始等轴单相结构,由奥氏体晶粒形成。采用电子背散射衍射(EBSD)技术来说明SS316L在承受动态载荷后的微观结构变化,结果表明,对于两种样品,随着变形速率的增加,晶粒细化程度增加。然而,对于由LENS制成的SS316L样品,低角度边界(亚晶粒)的比例降低,而高角度边界(奥氏体晶粒)的比例增加。动态变形的锻造SS316L的特征则相反:高角度边界的比例降低,低角度边界的比例增加。此外,与热锻钢相比,增材制造的SS316L的塑性流动应力较低,这是由于锻造样品的微观结构比增材样品的更细。在承受动态载荷的增材制造316L钢样品中,塑性变形主要通过位错滑移发生,这与锻造样品不同,在锻造样品中,主要的变形机制是孪生,这有利于奥氏体具有高变形速度和低堆垛层错能(SFE)。

https://cdn.ncbi.nlm.nih.gov/pmc/blobs/e4db/7662622/702b7f012bec/materials-13-04893-g001.jpg

文献AI研究员

20分钟写一篇综述,助力文献阅读效率提升50倍。

立即体验

用中文搜PubMed

大模型驱动的PubMed中文搜索引擎

马上搜索

文档翻译

学术文献翻译模型,支持多种主流文档格式。

立即体验