Suppr超能文献

脊髓型颈椎病患者锥体束征与临床运动状态的经颅磁刺激相关性

TMS Correlates of Pyramidal Tract Signs and Clinical Motor Status in Patients with Cervical Spondylotic Myelopathy.

作者信息

Lanza Giuseppe, Puglisi Valentina, Vinciguerra Luisa, Fisicaro Francesco, Vagli Carla, Cantone Mariagiovanna, Pennisi Giovanni, Pennisi Manuela, Bella Rita

机构信息

Department of Surgery and Medical-Surgical Specialties, University of Catania, Via Santa Sofia, 78-95123 Catania, Italy.

Department of Neurology IC, Oasi Research Institute-IRCCS, Via Conte Ruggero, 73-94018 Troina, Italy.

出版信息

Brain Sci. 2020 Oct 31;10(11):806. doi: 10.3390/brainsci10110806.

Abstract

BACKGROUND

While the association between motor-evoked potential (MEP) abnormalities and motor deficit is well established, few studies have reported the correlation between MEPs and signs of pyramidal tract dysfunction without motor weakness. We assessed MEPs in patients with pyramidal signs, including motor deficits, compared to patients with pyramidal signs but without weakness.

METHODS

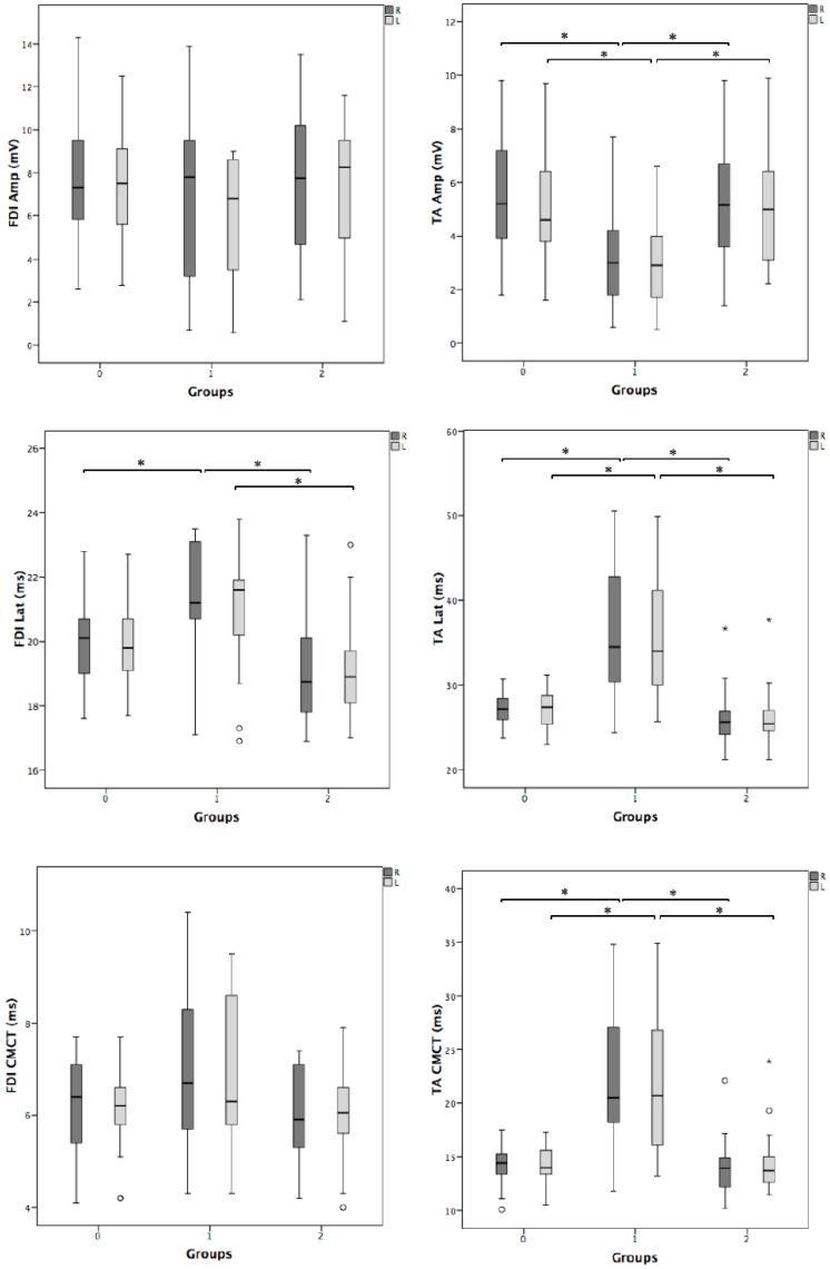
Forty-three patients with cervical spondylotic myelopathy (CSM) were dichotomized into 21 with pyramidal signs including motor deficit (Group 1) and 22 with pyramidal signs and normal strength (Group 2), and both groups were compared to 33 healthy controls (Group 0). MEPs were bilaterally recorded from the first dorsal interosseous and tibialis anterior muscle. The central motor conduction time (CMCT) was estimated as the difference between MEP latency and peripheral latency by magnetic stimulation. Peak-to-peak MEP amplitude and right-to-left differences were also measured.

RESULTS

Participants were age-, sex-, and height-matched. MEP latency in four limbs and CMCT in the lower limbs were prolonged, and MEP amplitude in the lower limbs decreased in Group 1 compared to the others. Unlike motor deficit, pyramidal signs were not associated with MEP measures, even when considering age, sex, and height as confounding factors.

CONCLUSIONS

In CSM, isolated pyramidal signs may not be associated, at this stage, with MEP changes.

摘要

背景

虽然运动诱发电位(MEP)异常与运动功能障碍之间的关联已得到充分证实,但很少有研究报道MEP与无运动无力的锥体束功能障碍体征之间的相关性。我们对有锥体束征(包括运动功能障碍)的患者与有锥体束征但无无力症状的患者进行了MEP评估。

方法

将43例脊髓型颈椎病(CSM)患者分为两组,21例有锥体束征包括运动功能障碍(第1组),22例有锥体束征且肌力正常(第2组),并将两组与33名健康对照者(第0组)进行比较。从双侧第一背侧骨间肌和胫前肌记录MEP。通过磁刺激将中央运动传导时间(CMCT)估计为MEP潜伏期与外周潜伏期之间的差值。还测量了MEP峰峰值幅度和左右差异。

结果

参与者在年龄、性别和身高方面匹配。与其他组相比,第1组四肢的MEP潜伏期和下肢的CMCT延长,下肢的MEP幅度降低。与运动功能障碍不同,即使将年龄、性别和身高作为混杂因素考虑,锥体束征也与MEP测量值无关。

结论

在CSM中,现阶段孤立的锥体束征可能与MEP变化无关。

https://cdn.ncbi.nlm.nih.gov/pmc/blobs/fc83/7692772/49be15af8792/brainsci-10-00806-g001.jpg

文献AI研究员

20分钟写一篇综述,助力文献阅读效率提升50倍。

立即体验

用中文搜PubMed

大模型驱动的PubMed中文搜索引擎

马上搜索

文档翻译

学术文献翻译模型,支持多种主流文档格式。

立即体验