• 文献检索
  • 文档翻译
  • 深度研究
  • 学术资讯
  • Suppr Zotero 插件Zotero 插件
  • 邀请有礼
  • 套餐&价格
  • 历史记录
应用&插件
Suppr Zotero 插件Zotero 插件浏览器插件Mac 客户端Windows 客户端微信小程序
定价
高级版会员购买积分包购买API积分包
服务
文献检索文档翻译深度研究API 文档MCP 服务
关于我们
关于 Suppr公司介绍联系我们用户协议隐私条款
关注我们

Suppr 超能文献

核心技术专利:CN118964589B侵权必究
粤ICP备2023148730 号-1Suppr @ 2026

文献检索

告别复杂PubMed语法,用中文像聊天一样搜索,搜遍4000万医学文献。AI智能推荐,让科研检索更轻松。

立即免费搜索

文件翻译

保留排版,准确专业,支持PDF/Word/PPT等文件格式,支持 12+语言互译。

免费翻译文档

深度研究

AI帮你快速写综述,25分钟生成高质量综述,智能提取关键信息,辅助科研写作。

立即免费体验

土壤酸度对两个面包小麦品种生理反应的影响

The Influence of Soil Acidity on the Physiological Responses of Two Bread Wheat Cultivars.

作者信息

Tóth Brigitta, Juhász Csaba, Labuschagne Maryke, Moloi Makoena Joyce

机构信息

Institute of Food Science, University of Debrecen, 138 Böszörményi St., 4032 Debrecen, Hungary.

Arid Land Research Centre, University of Debrecen, 138 Böszörményi St., 4032 Debrecen, Hungary.

出版信息

Plants (Basel). 2020 Oct 31;9(11):1472. doi: 10.3390/plants9111472.

DOI:10.3390/plants9111472
PMID:33142829
原文链接:https://pmc.ncbi.nlm.nih.gov/articles/PMC7692381/
Abstract

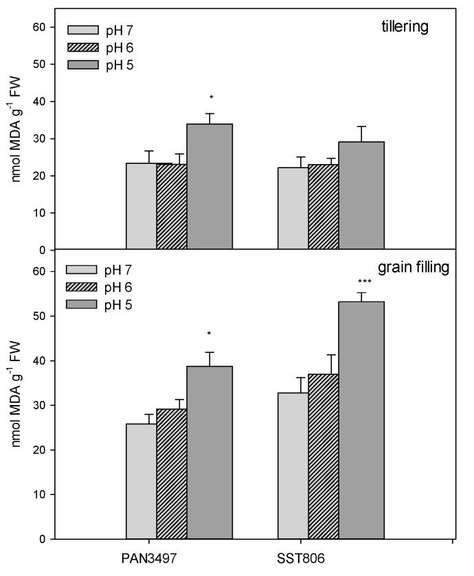
The recent study was conducted to examine the influence of acidic soil on the activities of ascorbate (APX) and guaiacol peroxidase (POD), proline, protein as well as malon-dialdehyde (MDA) content, in two commercial spring wheat cultivars (PAN3497 and SST806) at different growth stages (tillering and grain filling). A cultivar effect was significant only for MDA content, while the treatment effect was highly significant for proline, protein, and MDA. The sampling time effect was significant for most characteristics. MDA, antioxidative capacity, as well as protein content increased with maturity. At grain filling, MDA and proline contents were significantly higher at pH 5 than pH 6 and 7 for both cultivars, with the highest content in SST806. Similarly, SST806 had significantly higher APX and POD when growing at pH 5. There were no significant differences in protein content at grain filling between either genotype or treatments affected by low pH. This study showed that growth stage and soil pH influence the rate of lipid peroxidation as well as the antioxidative capacity of wheat, with a larger effect at grain filling, at pH 5. Although SST806 had higher proline, POD, and APX content than PAN3497 at this growth stage, this coincided with a very high MDA content. This shows that the high antioxidative capacity observed here, was not associated with a reduction of lipid peroxidation under low soil pH. Further research should, therefore, be done to establish the role of the induced antioxidant system in association with growth and yield in wheat.

摘要

最近开展了一项研究,以考察酸性土壤对两个商用春小麦品种(PAN3497和SST806)在不同生长阶段(分蘖期和灌浆期)的抗坏血酸过氧化物酶(APX)和愈创木酚过氧化物酶(POD)活性、脯氨酸、蛋白质以及丙二醛(MDA)含量的影响。品种效应仅对MDA含量有显著影响,而处理效应对脯氨酸、蛋白质和MDA有极显著影响。采样时间效应对大多数特征有显著影响。MDA、抗氧化能力以及蛋白质含量随成熟度增加。在灌浆期,两个品种在pH 5条件下的MDA和脯氨酸含量均显著高于pH 6和pH 7条件下的,且SST806中的含量最高。同样,SST806在pH 5条件下生长时APX和POD显著更高。在灌浆期,低pH影响的基因型或处理之间的蛋白质含量没有显著差异。本研究表明,生长阶段和土壤pH影响小麦的脂质过氧化速率以及抗氧化能力,在灌浆期pH 5条件下影响更大。尽管在该生长阶段SST806的脯氨酸、POD和APX含量高于PAN3497,但这与非常高的MDA含量同时出现。这表明此处观察到的高抗氧化能力与低土壤pH条件下脂质过氧化的降低无关。因此,应进一步开展研究以确定诱导抗氧化系统在小麦生长和产量方面的作用。

https://cdn.ncbi.nlm.nih.gov/pmc/blobs/4a3c/7692381/434164c4e73d/plants-09-01472-g005.jpg
https://cdn.ncbi.nlm.nih.gov/pmc/blobs/4a3c/7692381/2d1df9992278/plants-09-01472-g001.jpg
https://cdn.ncbi.nlm.nih.gov/pmc/blobs/4a3c/7692381/ff8004c81499/plants-09-01472-g002.jpg
https://cdn.ncbi.nlm.nih.gov/pmc/blobs/4a3c/7692381/920c7ac1eded/plants-09-01472-g003.jpg
https://cdn.ncbi.nlm.nih.gov/pmc/blobs/4a3c/7692381/8d29b9f5c573/plants-09-01472-g004.jpg
https://cdn.ncbi.nlm.nih.gov/pmc/blobs/4a3c/7692381/434164c4e73d/plants-09-01472-g005.jpg
https://cdn.ncbi.nlm.nih.gov/pmc/blobs/4a3c/7692381/2d1df9992278/plants-09-01472-g001.jpg
https://cdn.ncbi.nlm.nih.gov/pmc/blobs/4a3c/7692381/ff8004c81499/plants-09-01472-g002.jpg
https://cdn.ncbi.nlm.nih.gov/pmc/blobs/4a3c/7692381/920c7ac1eded/plants-09-01472-g003.jpg
https://cdn.ncbi.nlm.nih.gov/pmc/blobs/4a3c/7692381/8d29b9f5c573/plants-09-01472-g004.jpg
https://cdn.ncbi.nlm.nih.gov/pmc/blobs/4a3c/7692381/434164c4e73d/plants-09-01472-g005.jpg

相似文献

1
The Influence of Soil Acidity on the Physiological Responses of Two Bread Wheat Cultivars.土壤酸度对两个面包小麦品种生理反应的影响
Plants (Basel). 2020 Oct 31;9(11):1472. doi: 10.3390/plants9111472.
2
Salicylic Acid Improves Growth and Physiological Attributes and Salt Tolerance Differentially in Two Bread Wheat Cultivars.水杨酸对两个面包小麦品种的生长、生理特性及耐盐性有不同程度的改善作用。
Plants (Basel). 2022 Jul 15;11(14):1853. doi: 10.3390/plants11141853.
3
Bread Wheat () Responses to Arbuscular Mycorrhizae Inoculation under Drought Stress Conditions.面包小麦()在干旱胁迫条件下对丛枝菌根接种的响应。
Plants (Basel). 2021 Aug 24;10(9):1756. doi: 10.3390/plants10091756.
4
Drought Tolerance Responses in Vegetable-Type Soybean Involve a Network of Biochemical Mechanisms at Flowering and Pod-Filling Stages.蔬菜型大豆在开花期和结荚期的耐旱反应涉及生化机制网络。
Plants (Basel). 2021 Jul 22;10(8):1502. doi: 10.3390/plants10081502.
5
Ridge-furrow mulched with plastic film improves the anti-oxidative defence system and photosynthesis in leaves of winter wheat under deficit irrigation.垄膜沟灌提高了亏水灌溉下冬小麦叶片的抗氧化防御系统和光合作用。
PLoS One. 2018 Jul 11;13(7):e0200277. doi: 10.1371/journal.pone.0200277. eCollection 2018.
6
Seed priming by sodium nitroprusside improves salt tolerance in wheat (Triticum aestivum L.) by enhancing physiological and biochemical parameters.硝普钠引发种子通过增强生理生化参数提高小麦(Triticum aestivum L.)的耐盐性。
Plant Physiol Biochem. 2017 Oct;119:50-58. doi: 10.1016/j.plaphy.2017.08.010. Epub 2017 Aug 18.
7
Zinc-induced oxidative damage, antioxidant enzyme response and proline metabolism in roots and leaves of wheat plants.锌诱导的氧化损伤、抗氧化酶响应和小麦植株根和叶中的脯氨酸代谢。
Ecotoxicol Environ Saf. 2013 Mar;89:150-7. doi: 10.1016/j.ecoenv.2012.11.025. Epub 2012 Dec 20.
8
Nitrogen Nutrition Improves the Potential of Wheat (Triticum aestivum L.) to Alleviate the Effects of Drought Stress during Vegetative Growth Periods.氮素营养提高了小麦(Triticum aestivum L.)在营养生长阶段缓解干旱胁迫影响的潜力。
Front Plant Sci. 2016 Jun 30;7:981. doi: 10.3389/fpls.2016.00981. eCollection 2016.
9
Changes of anti-oxidative enzymes and MDA content under soil water deficits among 10 wheat (Triticum aestivum L.) genotypes at maturation stage.10个小麦(普通小麦)基因型在成熟期土壤水分亏缺条件下抗氧化酶和丙二醛含量的变化
Colloids Surf B Biointerfaces. 2005 Sep 25;45(1):7-13. doi: 10.1016/j.colsurfb.2005.06.016.
10
Effect of elevated ozone and varying levels of soil nitrogen in two wheat (Triticum aestivum L.) cultivars: Growth, gas-exchange, antioxidant status, grain yield and quality.臭氧升高和两种小麦(Triticum aestivum L.)品种不同土壤氮水平对其的影响:生长、气体交换、抗氧化状态、籽粒产量和品质。
Ecotoxicol Environ Saf. 2018 Aug 30;158:59-68. doi: 10.1016/j.ecoenv.2018.04.014. Epub 2018 Apr 24.

引用本文的文献

1
Raising pH Reduces Manganese Toxicity in (L.) Osbeck by Efficient Maintenance of Nutrient Homeostasis to Enhance Photosynthesis and Growth.提高pH值通过有效维持营养稳态以增强光合作用和生长来降低锰对(某种植物,此处原文未明确植物具体名称)的毒性。
Plants (Basel). 2025 Aug 2;14(15):2390. doi: 10.3390/plants14152390.
2
Silicon Nanomaterials Enhance Seedling Growth and Plant Adaptation to Acidic Soil by Promoting Photosynthesis and Antioxidant Activity in Mustard ( L.).硅纳米材料通过促进芥菜光合作用和抗氧化活性来增强幼苗生长和植物对酸性土壤的适应能力。
Int J Mol Sci. 2024 Sep 25;25(19):10318. doi: 10.3390/ijms251910318.
3
Soil acidification and salinity: the importance of biochar application to agricultural soils.

本文引用的文献

1
Low pH effects on reactive oxygen species and methylglyoxal metabolisms in Citrus roots and leaves.低 pH 值对柑橘根和叶中活性氧和甲基乙二醛代谢的影响。
BMC Plant Biol. 2019 Nov 6;19(1):477. doi: 10.1186/s12870-019-2103-5.
2
Unraveling Morphophysiological and Biochemical Responses of L. to Extreme pH: Coordinated Actions of Antioxidant Defense and Glyoxalase Systems.解析嗜酸乳杆菌对极端pH值的形态生理和生化反应:抗氧化防御系统和乙二醛酶系统的协同作用
Plants (Basel). 2019 Jan 18;8(1):24. doi: 10.3390/plants8010024.
3
Enhancement of Low pH Stress Tolerance in Anthocyanin-Enriched Transgenic Petunia Overexpressing Gene.
土壤酸化与盐渍化:生物炭施用于农业土壤的重要性。
Front Plant Sci. 2023 Sep 14;14:1206820. doi: 10.3389/fpls.2023.1206820. eCollection 2023.
4
Signaling and crosstalk of rhizobacterial and plant hormones that mediate abiotic stress tolerance in plants.介导植物非生物胁迫耐受性的根际细菌与植物激素的信号传导及相互作用。
Front Microbiol. 2023 Jun 30;14:1171104. doi: 10.3389/fmicb.2023.1171104. eCollection 2023.
5
Molecular and Physiological Responses of Leaves to Long-Term Low pH Revealed by RNA-Seq Integrated with Targeted Metabolomics.基于 RNA-Seq 联合靶向代谢组学分析揭示了叶片对长期低 pH 的分子和生理响应
Int J Mol Sci. 2022 May 23;23(10):5844. doi: 10.3390/ijms23105844.
6
The Physiological and Biochemical Responses of European Chestnut ( L.) to Blight Fungus ( (Murill) Barr).欧洲栗(Castanea sativa Mill.)对栗疫病真菌(Cryphonectria parasitica (Murrill) Barr)的生理生化响应
Plants (Basel). 2021 Oct 8;10(10):2136. doi: 10.3390/plants10102136.
7
The interactive effect of pH variation and cadmium stress on wheat (Triticum aestivum L.) growth, physiological and biochemical parameters.pH 值变化与镉胁迫对小麦(Triticum aestivum L.)生长、生理生化参数的交互影响。
PLoS One. 2021 Jul 12;16(7):e0253798. doi: 10.1371/journal.pone.0253798. eCollection 2021.
过表达基因的富含花青素转基因矮牵牛对低pH胁迫耐受性的增强
Front Plant Sci. 2018 Aug 21;9:1124. doi: 10.3389/fpls.2018.01124. eCollection 2018.
4
Effects of Low pH on Photosynthesis, Related Physiological Parameters, and Nutrient Profiles of .低pH值对[具体对象]光合作用、相关生理参数及营养状况的影响
Front Plant Sci. 2017 Feb 21;8:185. doi: 10.3389/fpls.2017.00185. eCollection 2017.
5
Coordinated Actions of Glyoxalase and Antioxidant Defense Systems in Conferring Abiotic Stress Tolerance in Plants.乙二醛酶和抗氧化防御系统在赋予植物非生物胁迫耐受性中的协同作用。
Int J Mol Sci. 2017 Jan 20;18(1):200. doi: 10.3390/ijms18010200.
6
Low pH-induced changes of antioxidant enzyme and ATPase activities in the roots of rice (Oryza sativa L.) seedlings.低pH诱导水稻(Oryza sativa L.)幼苗根系抗氧化酶和ATP酶活性的变化。
PLoS One. 2015 Feb 26;10(2):e0116971. doi: 10.1371/journal.pone.0116971. eCollection 2015.
7
Differences in Al tolerance between Plantago algarbiensis and P. almogravensis reflect their ability to respond to oxidative stress.阿尔加维车前(Plantago algarbiensis)和阿尔莫拉温车前(P. almogravensis)之间铝耐受性的差异反映了它们对氧化应激的响应能力。
Biometals. 2013 Jun;26(3):427-37. doi: 10.1007/s10534-013-9625-3. Epub 2013 Apr 8.
8
Photosynthetic and antioxidant responses of Liquidambar formosana and Schima superba seedlings to sulfuric-rich and nitric-rich simulated acid rain.富硫和富氮模拟酸雨对枫香和木荷幼苗光合和抗氧化的响应。
Plant Physiol Biochem. 2013 Mar;64:41-51. doi: 10.1016/j.plaphy.2012.12.012. Epub 2013 Jan 5.
9
Role of proline under changing environments: a review.脯氨酸在变化环境中的作用:综述。
Plant Signal Behav. 2012 Nov;7(11):1456-66. doi: 10.4161/psb.21949. Epub 2012 Sep 5.
10
Arabidopsis plants acclimate to water deficit at low cost through changes of carbon usage: an integrated perspective using growth, metabolite, enzyme, and gene expression analysis.拟南芥植物通过改变碳利用来低成本适应水分亏缺:利用生长、代谢物、酶和基因表达分析的综合观点。
Plant Physiol. 2010 Sep;154(1):357-72. doi: 10.1104/pp.110.157008. Epub 2010 Jul 14.