Department of Internal Medicine III, Giessen University Hospital, 35392 Giessen, Germany.
Int J Mol Sci. 2020 Oct 31;21(21):8168. doi: 10.3390/ijms21218168.
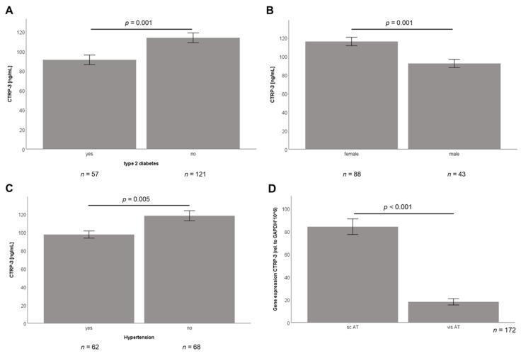
The adipokine CTRP-3 (C1q/TNF-related protein-3) exerts anti-inflammatory and anti-diabetic effects. Its regulation in obesity and during weight loss is unknown. Serum and adipose tissue (AT) samples were obtained from patients ( = 179) undergoing bariatric surgery (BS). Moreover, patients ( = 131) participating in a low-calorie diet (LCD) program were studied. CTRP 3 levels were quantified by ELISA and mRNA expression was analyzed in AT and in 3T3-L1 adipocytes treated with bile acids and incretins. There was a persistent downregulation of CTRP-3 serum levels during weight loss. CTRP-3 expression was higher in subcutaneous than in visceral AT and serum levels of CTRP-3 were positively related to AT expression levels. A rapid decrease of circulating CTRP-3 was observed immediately upon BS, suggesting weight loss-independent regulatory mechanisms. Adipocytes CTRP-3 expression was inhibited by primary bile acid species and GLP 1. Adipocyte-specific CTRP-3 deficiency increased bile acid receptor expression. Circulating CTRP-3 levels are downregulated during weight loss, with a considerable decline occurring immediately upon BS. Mechanisms dependent and independent of weight loss cause the post-surgical decline of CTRP-3. The data strongly argue for regulatory interrelations of CTRP-3 with bile acids and incretin system.
脂肪因子 CTRP-3(C1q/TNF 相关蛋白-3)发挥抗炎和抗糖尿病作用。其在肥胖和减肥期间的调节尚不清楚。从接受减肥手术(BS)的患者(= 179)中获得血清和脂肪组织(AT)样本。此外,还研究了参加低热量饮食(LCD)计划的患者(= 131)。通过 ELISA 定量测定 CTRP3 水平,并在胆汁酸和肠促胰岛素处理的 AT 和 3T3-L1 脂肪细胞中分析 mRNA 表达。在减肥过程中,血清 CTRP-3 水平持续下调。与内脏 AT 相比,CTRP-3 在皮下 AT 中的表达更高,血清 CTRP-3 水平与 AT 表达水平呈正相关。BS 后立即观察到循环 CTRP-3 的快速下降,表明存在与体重减轻无关的调节机制。原胆酸和 GLP1 抑制脂肪细胞 CTRP-3 表达。脂肪细胞特异性 CTRP-3 缺乏增加了胆汁酸受体表达。在减肥过程中,循环 CTRP-3 水平下调,BS 后立即出现明显下降。体重减轻依赖和不依赖的机制导致术后 CTRP-3 的下降。这些数据强烈表明 CTRP-3 与胆汁酸和肠促胰岛素系统之间存在调节关系。