• 文献检索
  • 文档翻译
  • 深度研究
  • 学术资讯
  • Suppr Zotero 插件Zotero 插件
  • 邀请有礼
  • 套餐&价格
  • 历史记录
应用&插件
Suppr Zotero 插件Zotero 插件浏览器插件Mac 客户端Windows 客户端微信小程序
定价
高级版会员购买积分包购买API积分包
服务
文献检索文档翻译深度研究API 文档MCP 服务
关于我们
关于 Suppr公司介绍联系我们用户协议隐私条款
关注我们

Suppr 超能文献

核心技术专利:CN118964589B侵权必究
粤ICP备2023148730 号-1Suppr @ 2026

文献检索

告别复杂PubMed语法,用中文像聊天一样搜索,搜遍4000万医学文献。AI智能推荐,让科研检索更轻松。

立即免费搜索

文件翻译

保留排版,准确专业,支持PDF/Word/PPT等文件格式,支持 12+语言互译。

免费翻译文档

深度研究

AI帮你快速写综述,25分钟生成高质量综述,智能提取关键信息,辅助科研写作。

立即免费体验

山奈酚对动物模型中他克莫司诱导的肾毒性及钙调神经磷酸酶B1表达水平的影响

Effect of Kaempferol on Tacrolimus-Induced Nephrotoxicity and Calcineurin B1 Expression Level in Animal Model.

作者信息

Ali Ahmed Shaker, Almalki Abdullah Saddah, Alharthy Basma Tarek

机构信息

Department of Pharmacology, Faculty of Medicine, King Abdulaziz University, Jeddah, Saudi Arabia.

Department of Pharmaceutics, Faculty of Pharmacy, Assiut University, Assiut, Egypt.

出版信息

J Exp Pharmacol. 2020 Oct 28;12:397-407. doi: 10.2147/JEP.S265359. eCollection 2020.

DOI:10.2147/JEP.S265359
PMID:33149706
原文链接:https://pmc.ncbi.nlm.nih.gov/articles/PMC7604448/
Abstract

BACKGROUND

The kidneys are considered one of the most susceptible organs for adverse drug effects, particularly in post-transplant conditions. Tacrolimus (FK506), a calcineurin inhibitor immunosuppressant, is an essential component in the transplantation regimen. Despite that, nephrotoxicity is a severe drawback for its chronic utilization, where oxidative stress might be implicated. Kaempferol (KMF) is a natural flavonoid that has many adaptable biological activities, including antioxidant action.

OBJECTIVE

Exploring the KMF protective effect on FK506-induced nephrotoxicity and the underlying role of calcineurin B1.

METHODS

Twenty-four male albino-Wistar rats were randomly divided into three equal groups. The control group received solvents: propylene glycol, i.p. and 0.5% carboxymethyl cellulose, PO; FK506 group was injected with FK506 (0.6 mg/kg, i.p.), and FK506+KMF group was given FK506 (0.6 mg/kg, i.p.) and KMF (10 mg/kg, PO). The treatment regimen for all groups was once daily for 30 days. ELISA technique applied for measuring FK506 trough level and nephrotoxicity biomarkers in serum (cystatin C and urea) on days 15 and 30, and in kidney tissue homogenate (MDA and calcineurin B1) on day 30.

RESULTS

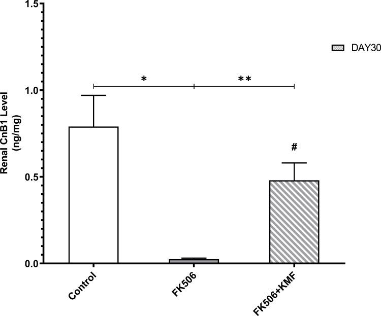
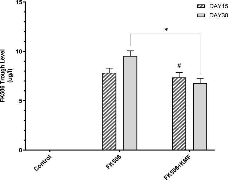
In FK506-treated rats, the FK506 trough level was 7.84 ± 1.31 ug/l on day 15 and 9.54 ± 1.45 ug/l on day 30. FK506 use has significantly (<0.01) increased biomarkers levels of cystatin C (325% and 477%), urea (177% and 245%), MDA (1253%), except calcineurin B1 that has decreased (97%). The KMF combination has resulted in a significant reduction in the FK506 trough level by day 30 (6.79 ± 1.35 ug/l, <0.01). KMF has significantly ameliorated the levels of cystatin C (46% and 73%, <0.001), urea (38% and 68%, 0.001), MDA (75%, <0.001), and calcineurin B1 (1833%, <0.05).

CONCLUSION

Oxidative stress and calcineurin B1 are contributing factors in FK506-induced nephrotoxicity. Hence, inhibition of calcineurin enzyme is not limited to the immune cells. KMF could be a novel nephroprotective antioxidant.

摘要

背景

肾脏被认为是最易受到药物不良反应影响的器官之一,尤其是在移植后的情况下。他克莫司(FK506)是一种钙调神经磷酸酶抑制剂免疫抑制剂,是移植方案中的重要组成部分。尽管如此,肾毒性是其长期使用的严重缺点,其中氧化应激可能与之相关。山奈酚(KMF)是一种天然黄酮类化合物,具有许多适应性生物学活性,包括抗氧化作用。

目的

探讨KMF对FK506诱导的肾毒性的保护作用以及钙调神经磷酸酶B1的潜在作用。

方法

将24只雄性白化Wistar大鼠随机分为三组,每组数量相等。对照组接受溶剂:腹腔注射丙二醇和口服0.5%羧甲基纤维素;FK506组腹腔注射FK506(0.6mg/kg),FK506+KMF组腹腔注射FK506(0.6mg/kg)并口服KMF(10mg/kg)。所有组的治疗方案均为每日一次,持续30天。采用ELISA技术在第15天和第30天测量血清(胱抑素C和尿素)中FK506谷浓度和肾毒性生物标志物,在第30天测量肾组织匀浆(丙二醛和钙调神经磷酸酶B1)中的相关指标。

结果

在接受FK506治疗的大鼠中,第15天FK506谷浓度为7.84±1.31μg/l,第30天为9.54±1.45μg/l。使用FK506显著(<0.01)增加了胱抑素C(分别增加325%和477%)、尿素(分别增加177%和245%)、丙二醛(增加1253%)的生物标志物水平,但钙调神经磷酸酶B1水平降低(降低97%)。到第30天,KMF联合用药使FK506谷浓度显著降低(6.79±1.35μg/l,<0.01)。KMF显著改善了胱抑素C(分别降低46%和73%,<0.001)、尿素(分别降低38%和68%,0.001)、丙二醛(降低75%,<0.001)和钙调神经磷酸酶B1(增加1833%,<0.05)的水平。

结论

氧化应激和钙调神经磷酸酶B1是FK506诱导肾毒性的促成因素。因此,钙调神经磷酸酶的抑制不限于免疫细胞。KMF可能是一种新型的肾保护抗氧化剂。

https://cdn.ncbi.nlm.nih.gov/pmc/blobs/6667/7604448/fefab585aaab/JEP-12-397-g0007.jpg
https://cdn.ncbi.nlm.nih.gov/pmc/blobs/6667/7604448/186d71a04e1b/JEP-12-397-g0001.jpg
https://cdn.ncbi.nlm.nih.gov/pmc/blobs/6667/7604448/a05ccaf97232/JEP-12-397-g0002.jpg
https://cdn.ncbi.nlm.nih.gov/pmc/blobs/6667/7604448/003d44c6dc54/JEP-12-397-g0003.jpg
https://cdn.ncbi.nlm.nih.gov/pmc/blobs/6667/7604448/05e04b73d707/JEP-12-397-g0004.jpg
https://cdn.ncbi.nlm.nih.gov/pmc/blobs/6667/7604448/583988702eea/JEP-12-397-g0005.jpg
https://cdn.ncbi.nlm.nih.gov/pmc/blobs/6667/7604448/70d0cf372bfe/JEP-12-397-g0006.jpg
https://cdn.ncbi.nlm.nih.gov/pmc/blobs/6667/7604448/fefab585aaab/JEP-12-397-g0007.jpg
https://cdn.ncbi.nlm.nih.gov/pmc/blobs/6667/7604448/186d71a04e1b/JEP-12-397-g0001.jpg
https://cdn.ncbi.nlm.nih.gov/pmc/blobs/6667/7604448/a05ccaf97232/JEP-12-397-g0002.jpg
https://cdn.ncbi.nlm.nih.gov/pmc/blobs/6667/7604448/003d44c6dc54/JEP-12-397-g0003.jpg
https://cdn.ncbi.nlm.nih.gov/pmc/blobs/6667/7604448/05e04b73d707/JEP-12-397-g0004.jpg
https://cdn.ncbi.nlm.nih.gov/pmc/blobs/6667/7604448/583988702eea/JEP-12-397-g0005.jpg
https://cdn.ncbi.nlm.nih.gov/pmc/blobs/6667/7604448/70d0cf372bfe/JEP-12-397-g0006.jpg
https://cdn.ncbi.nlm.nih.gov/pmc/blobs/6667/7604448/fefab585aaab/JEP-12-397-g0007.jpg

相似文献

1
Effect of Kaempferol on Tacrolimus-Induced Nephrotoxicity and Calcineurin B1 Expression Level in Animal Model.山奈酚对动物模型中他克莫司诱导的肾毒性及钙调神经磷酸酶B1表达水平的影响
J Exp Pharmacol. 2020 Oct 28;12:397-407. doi: 10.2147/JEP.S265359. eCollection 2020.
2
Intravenously injected FK506 failed to inhibit hippocampal calcineurin.
Biochem Biophys Res Commun. 2001 Aug 31;286(4):802-6. doi: 10.1006/bbrc.2001.5468.
3
[Prevention of diltiazem in tacrolimus-induced nephrotoxicity: experiment with rats].[地尔硫䓬预防他克莫司诱导的肾毒性:大鼠实验]
Zhonghua Yi Xue Za Zhi. 2007 Aug 28;87(32):2235-7.
4
Nephrotoxicity of cyclosporin A and FK506: inhibition of calcineurin phosphatase.环孢素A和FK506的肾毒性:对钙调神经磷酸酶的抑制作用
Ren Physiol Biochem. 1995 May-Jun;18(3):128-39. doi: 10.1159/000173910.
5
Tetrahydrocurcumin Ameliorates Tacrolimus-Induced Nephrotoxicity Via Inhibiting Apoptosis.四氢姜黄素通过抑制细胞凋亡减轻他克莫司诱导的肾毒性。
Transplant Proc. 2018 Nov;50(9):2854-2859. doi: 10.1016/j.transproceed.2018.03.031. Epub 2018 Mar 16.
6
Genomic-derived markers for early detection of calcineurin inhibitor immunosuppressant-mediated nephrotoxicity.用于检测钙调磷酸酶抑制剂免疫抑制剂介导的肾毒性的基于基因组的标志物。
Toxicol Sci. 2011 Nov;124(1):23-34. doi: 10.1093/toxsci/kfr217. Epub 2011 Aug 24.
7
Nephrotoxicity of immunosuppressive drugs: long-term consequences and challenges for the future.免疫抑制药物的肾毒性:长期后果及未来挑战
Am J Kidney Dis. 2000 Feb;35(2):333-46. doi: 10.1016/s0272-6386(00)70348-9.
8
FK506 microparticles mitigate experimental colitis with minor renal calcineurin suppression.FK506微粒可减轻实验性结肠炎,同时对肾脏钙调神经磷酸酶的抑制作用较小。
Pharm Res. 2005 Feb;22(2):193-9. doi: 10.1007/s11095-004-1186-2.
9
The immunosuppressant FK506 and its nonimmunosuppressive analog L-685,818 are toxic to Cryptococcus neoformans by inhibition of a common target protein.免疫抑制剂FK506及其非免疫抑制类似物L-685,818通过抑制一种共同的靶蛋白对新型隐球菌有毒性作用。
Antimicrob Agents Chemother. 1997 Jan;41(1):156-61. doi: 10.1128/AAC.41.1.156.
10
The calcineurin inhibitor FK506 (tacrolimus) is associated with transient metabolic acidosis and altered expression of renal acid-base transport proteins.钙调神经磷酸酶抑制剂FK506(他克莫司)与短暂性代谢性酸中毒及肾酸碱转运蛋白表达改变有关。
Am J Physiol Renal Physiol. 2009 Aug;297(2):F499-509. doi: 10.1152/ajprenal.90489.2008. Epub 2009 May 13.

引用本文的文献

1
A Synopsis of Current Theories on Drug-Induced Nephrotoxicity.药物性肾毒性当前理论综述
Life (Basel). 2023 Jan 24;13(2):325. doi: 10.3390/life13020325.
2
The Effect of Polyphenols on Kidney Disease: Targeting Mitochondria.多酚对肾脏疾病的影响:靶向线粒体。
Nutrients. 2022 Jul 29;14(15):3115. doi: 10.3390/nu14153115.
3
Attenuation of tacrolimus induced oxidative stress, mitochondrial damage, and cell cycle arrest by root fraction in mdck cell lines.他克莫司诱导的氧化应激、线粒体损伤及细胞周期阻滞在mdck细胞系中被根部分提取物减轻。

本文引用的文献

1
The impact of tacrolimus exposure on extrarenal adverse effects in adult renal transplant recipients.他克莫司暴露对成年肾移植受者肾外不良事件的影响。
Br J Clin Pharmacol. 2019 Mar;85(3):516-529. doi: 10.1111/bcp.13811. Epub 2019 Jan 4.
2
Mechanism of cyclosporine A nephrotoxicity: Oxidative stress, autophagy, and signalings.环孢素 A 肾毒性的机制:氧化应激、自噬和信号通路。
Food Chem Toxicol. 2018 Aug;118:889-907. doi: 10.1016/j.fct.2018.06.054. Epub 2018 Jun 28.
3
Tacrolimus-induced nephrotoxicity in mice is associated with microRNA deregulation.
Iran J Basic Med Sci. 2021 Aug;24(8):1087-1097. doi: 10.22038/ijbms.2021.56519.12618.
4
Effect of Short-Term Tacrolimus Exposure on Rat Liver: An Insight into Serum Antioxidant Status, Liver Lipid Peroxidation, and Inflammation.短期他克莫司暴露对大鼠肝脏的影响:对血清抗氧化状态、肝脂质过氧化和炎症的深入了解。
Mediators Inflamm. 2021 Feb 24;2021:6613786. doi: 10.1155/2021/6613786. eCollection 2021.
他克莫司诱导的小鼠肾毒性与 microRNA 失调有关。
Arch Toxicol. 2018 Apr;92(4):1539-1550. doi: 10.1007/s00204-018-2158-3. Epub 2018 Jan 23.
4
Tacrolimus - Pharmacokinetic Considerations for Clinicians.他克莫司——临床医生的药代动力学考量
Curr Drug Metab. 2018;19(4):342-350. doi: 10.2174/1389200219666180101104159.
5
Drug-Induced Kidney Injury in the Elderly.老年人药物性肾损伤
Drugs Aging. 2017 Oct;34(10):729-741. doi: 10.1007/s40266-017-0484-4.
6
Protective Role for Antioxidants in Acute Kidney Disease.抗氧化剂在急性肾损伤中的保护作用
Nutrients. 2017 Jul 7;9(7):718. doi: 10.3390/nu9070718.
7
Novel Therapeutics Identification for Fibrosis in Renal Allograft Using Integrative Informatics Approach.基于整合信息学方法的肾移植纤维化新型治疗药物的鉴定。
Sci Rep. 2017 Jan 4;7:39487. doi: 10.1038/srep39487.
8
Calcineurin Inhibitor Nephrotoxicity Through the Lens of Longitudinal Histology: Comparison of Cyclosporine and Tacrolimus Eras.从纵向组织学角度看钙调神经磷酸酶抑制剂肾毒性:环孢素时代与他克莫司时代的比较
Transplantation. 2016 Aug;100(8):1723-31. doi: 10.1097/TP.0000000000001243.
9
A simple practice guide for dose conversion between animals and human.动物与人之间剂量转换的简易实践指南。
J Basic Clin Pharm. 2016 Mar;7(2):27-31. doi: 10.4103/0976-0105.177703.
10
Clinical determinants of calcineurin inhibitor disposition: a mechanistic review.钙调磷酸酶抑制剂处置的临床决定因素:机制综述。
Drug Metab Rev. 2016;48(1):88-112. doi: 10.3109/03602532.2016.1151037. Epub 2016 Feb 25.