Department of Paediatrics, Centre for Liver, Digestive and Metabolic Diseases, University of Groningen, University Medical Centre Groningen, Groningen, The Netherlands.
Amsterdam Centre for Global Child Health, Emma Children's Hospital, Amsterdam University Medical Centres, Amsterdam, The Netherlands.
Sci Rep. 2020 Nov 5;10(1):18785. doi: 10.1038/s41598-020-75515-6.
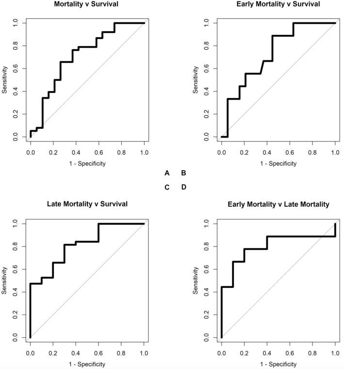
Children with severe acute malnutrition (SAM) display immature, altered gut microbiota and have a high mortality risk. Faecal volatile organic compounds (VOCs) reflect the microbiota composition and may provide insight into metabolic dysfunction that occurs in SAM. Here we determine whether analysis of faecal VOCs could identify children with SAM with increased risk of mortality. VOC profiles from children who died within six days following admission were compared to those who were discharged alive using machine learning algorithms. VOC profiles of children who died could be separated from those who were discharged with fair accuracy (AUC) = 0.71; 95% CI 0.59-0.87; P = 0.004). We present the first study showing differences in faecal VOC profiles between children with SAM who survived and those who died. VOC analysis holds potential to help discover metabolic pathways within the intestinal microbiome with causal association with mortality and target treatments in children with SAM.Trial Registration: The F75 study is registered at clinicaltrials.gov/ct2/show/NCT02246296.
患有严重急性营养不良 (SAM) 的儿童表现出不成熟、改变的肠道微生物群,并且具有高死亡率风险。粪便挥发性有机化合物 (VOC) 反映了微生物群的组成,并且可能提供对 SAM 中发生的代谢功能障碍的深入了解。在这里,我们确定分析粪便 VOC 是否可以识别具有更高死亡率风险的 SAM 儿童。使用机器学习算法比较了入院后六天内死亡的儿童与存活出院的儿童的粪便 VOC 图谱。死亡儿童的 VOC 图谱可以与出院儿童区分开来,具有相当高的准确性 (AUC=0.71;95%CI 0.59-0.87;P=0.004)。我们首次报告了存活和死亡的 SAM 儿童粪便 VOC 谱之间存在差异的研究。VOC 分析有可能帮助发现与死亡率有因果关系的肠道微生物组内的代谢途径,并针对 SAM 儿童进行靶向治疗。试验注册:F75 研究在 clinicaltrials.gov/ct2/show/NCT02246296 上注册。