Suppr超能文献

经椎骨和经皮脊髓刺激对脊髓感觉运动网络的映射

Mapping of the Spinal Sensorimotor Network by Transvertebral and Transcutaneous Spinal Cord Stimulation.

作者信息

Shkorbatova Polina, Lyakhovetskii Vsevolod, Pavlova Natalia, Popov Alexander, Bazhenova Elena, Kalinina Daria, Gorskii Oleg, Musienko Pavel

机构信息

Institute of Translational Biomedicine, Saint Petersburg State University, Saint Petersburg, Russia.

Pavlov Institute of Physiology Russian Academy of Sciences, Saint Petersburg, Russia.

出版信息

Front Syst Neurosci. 2020 Oct 9;14:555593. doi: 10.3389/fnsys.2020.555593. eCollection 2020.

Abstract

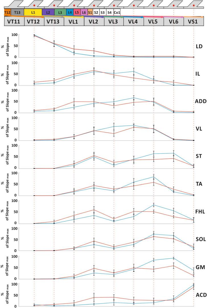
Transcutaneous stimulation is a neuromodulation method that is efficiently used for recovery after spinal cord injury and other disorders that are accompanied by motor and sensory deficits. Multiple aspects of transcutaneous stimulation optimization still require testing in animal experiments including the use of pharmacological agents, spinal lesions, cell recording, etc. This need initially motivated us to develop a new approach of transvertebral spinal cord stimulation (SCS) and to test its feasibility in acute and chronic experiments on rats. The aims of the current work were to study the selectivity of muscle activation over the lower thoracic and lumbosacral spinal cord when the stimulating electrode was located intravertebrally and to compare its effectiveness to that of the clinically used transcutaneous stimulation. In decerebrated rats, electromyographic activity was recorded in the muscles of the back (m. longissimus dorsi), tail (m. abductor caudae dorsalis), and hindlimb (mm. iliacus, adductor magnus, vastus lateralis, semitendinosus, tibialis anterior, gastrocnemius medialis, soleus, and flexor hallucis longus) during SCS with an electrode placed alternately in one of the spinous processes of the VT12-VS1 vertebrae. The recruitment curves for motor and sensory components of the evoked potentials (separated from each other by means of double-pulse stimulation) were plotted for each muscle; their slopes characterized the effectiveness of the muscle activation. The electrophysiological mapping demonstrated that transvertebral SCS has specific effects to the rostrocaudally distributed sensorimotor network of the lower thoracic and lumbosacral cord, mainly by stimulation of the roots that carry the sensory and motor spinal pathways. These effects were compared in the same animals when mapping was performed by transcutaneous stimulation, and similar distribution of muscle activity and underlying neuroanatomical mechanisms were found. The experiments on chronic rats validated the feasibility of the proposed stimulation approach of transvertebral SCS for further studies.

摘要

经皮刺激是一种神经调节方法,可有效用于脊髓损伤及其他伴有运动和感觉功能障碍后的恢复。经皮刺激优化的多个方面仍需在动物实验中进行测试,包括使用药物、脊髓损伤、细胞记录等。这一需求最初促使我们开发一种新的经椎骨脊髓刺激(SCS)方法,并在大鼠的急性和慢性实验中测试其可行性。当前工作的目的是研究当刺激电极位于椎体内时,下胸段和腰骶段脊髓上肌肉激活的选择性,并将其有效性与临床使用的经皮刺激进行比较。在去大脑大鼠中,当电极交替放置在VT12 - VS1椎体的一个棘突中进行脊髓刺激时,记录背部肌肉(背最长肌)、尾部肌肉(尾背侧外展肌)和后肢肌肉(髂肌、大收肌、股外侧肌、半腱肌、胫骨前肌、腓肠肌内侧头、比目鱼肌和拇长屈肌)的肌电图活动。为每块肌肉绘制诱发电位的运动和感觉成分的募集曲线(通过双脉冲刺激相互分离);它们的斜率表征肌肉激活的有效性。电生理图谱显示,经椎骨脊髓刺激对下胸段和腰骶段脊髓的头尾分布感觉运动网络有特定作用,主要是通过刺激携带感觉和运动脊髓通路的神经根。在同一动物中,当通过经皮刺激进行图谱绘制时,对这些作用进行了比较,发现肌肉活动和潜在神经解剖学机制的分布相似。对慢性大鼠的实验验证了所提出的经椎骨脊髓刺激方法用于进一步研究的可行性。

https://cdn.ncbi.nlm.nih.gov/pmc/blobs/03ed/7581734/06bdc6a1b674/fnsys-14-555593-g001.jpg

文献AI研究员

20分钟写一篇综述,助力文献阅读效率提升50倍。

立即体验

用中文搜PubMed

大模型驱动的PubMed中文搜索引擎

马上搜索

文档翻译

学术文献翻译模型,支持多种主流文档格式。

立即体验