Key Laboratory of Marine Drugs, Ministry of Education, School of Medicine and Pharmacy, Ocean University of China, Qingdao 266003, China.
Open Studio for Druggability Research of Marine Natural Products, Laboratory for Marine Drugs and Bioproducts, Qingdao National Laboratory for Marine Science and Technology, Qingdao 266237, China.
Int J Mol Sci. 2020 Nov 11;21(22):8495. doi: 10.3390/ijms21228495.
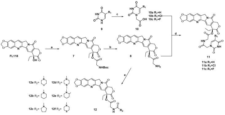
A novel camptothecin analogue, (20S)-10,11-methylenedioxy-camptothecin (FL118), has been proven to show significant antitumor efficacy for a wide variety of solid tumors. However, the further development of FL118 is severely hindered due to its extremely poor water solubility and adverse side effects. Here, two series of novel 20-substituted (20S)-10,11-methylenedioxy-camptothecin coupled with 5-substituted uracils and other heterocyclic rings through glycine were synthesized. All the derivatives showed superior cytotoxic activities in vitro with IC values in the nanomolar range. Among them, 12e displayed higher cytotoxic activities in several cancer cell lines with better water solubility than FL118. Our results further showed that, like FL118, 12e inhibited cell proliferation resulting from cell cycle arrest and apoptosis by blocking the anti-apoptotic gene transcription of survivin, Mcl-1, Bcl-2, and XIAP in both A549 cells and NCI-H446 cells. Furthermore, 12e did not show any inhibitory activity on Topo I, which is involved in hematopoietic toxicity. In vivo, 12e showed similar antitumor efficacy to FL118 but lower toxicity. Our findings indicate that 12e is a promising therapeutic agent for cancer treatment, and the core structure of FL118 represents a promising platform to generate novel FL118-based antitumor drugs.
一种新型喜树碱类似物,(20S)-10,11-亚甲基二氧基喜树碱(FL118),已被证明对多种实体瘤具有显著的抗肿瘤疗效。然而,由于其极差的水溶性和不良反应,FL118 的进一步开发受到严重阻碍。在此,通过甘氨酸将两个系列的新型 20 位取代(20S)-10,11-亚甲基二氧基喜树碱与 5 位取代的尿嘧啶和其他杂环环偶联合成。所有衍生物均表现出优异的体外细胞毒性,IC 值在纳摩尔范围内。其中,12e 在几种癌细胞系中表现出更高的细胞毒性活性,且水溶性优于 FL118。我们的结果进一步表明,与 FL118 类似,12e 通过抑制抗凋亡基因 survivin、Mcl-1、Bcl-2 和 XIAP 的转录,阻止细胞周期停滞和凋亡,从而抑制 A549 细胞和 NCI-H446 细胞的细胞增殖。此外,12e 对参与血液毒性的 Topo I 没有抑制活性。在体内,12e 表现出与 FL118 相似的抗肿瘤疗效,但毒性较低。我们的研究结果表明,12e 是一种很有前途的癌症治疗药物,FL118 的核心结构代表了一种有前途的生成新型基于 FL118 的抗肿瘤药物的平台。