Suppr超能文献

既往癌症对喉癌患者预后的影响:一项基于监测、流行病学和最终结果数据库的人群研究

Impact of Prior Cancer on the Prognosis of Patients With Laryngeal Cancer: A Population-Based Study Using the Surveillance, Epidemiology, and End Results Database.

作者信息

Chen Kailin, Tian Lamei, Li Yajun, Jin Yi, Liu Huai, Wang Hui

机构信息

Key Laboratory of Translational Radiation Oncology, Department of Radiation Oncology, Hunan Cancer Hospital and The Affiliated Cancer Hospital of Xiangya School of Medicine, Central South University, Changsha, China.

Department of Lymphoma and Hematology, Hunan Cancer Hospital and The Affiliated Cancer Hospital of Xiangya School of Medicine, Central South University, Changsha, China.

出版信息

Front Oncol. 2020 Oct 20;10:561330. doi: 10.3389/fonc.2020.561330. eCollection 2020.

Abstract

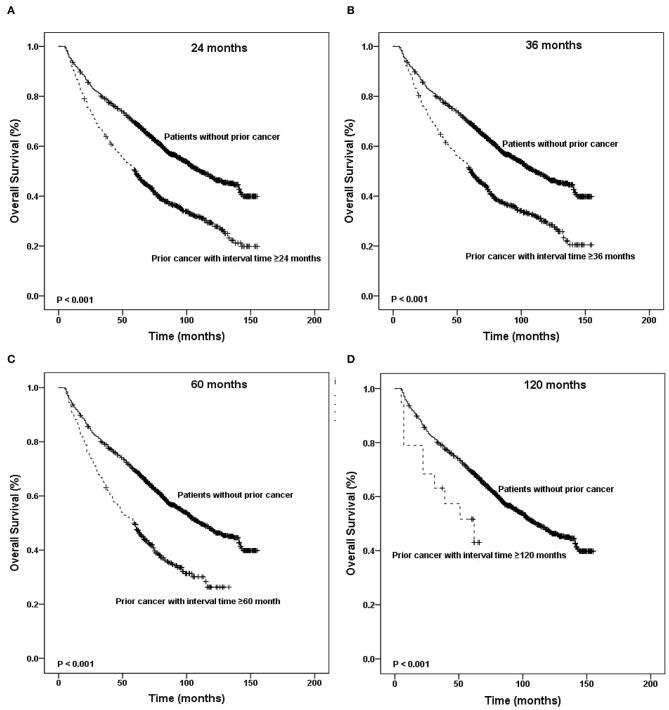
Little is known about the clinical significance of laryngeal cancer as a subsequent tumor. We aimed to determine the impact of a prior cancer history on the prevalence and prognosis of patients with laryngeal cancer. We retrospectively reviewed patients diagnosed with laryngeal cancer between 2004 and 2011 in the Surveillance, Epidemiology, and End Results (SEER) database. The -test and chi-squared test were used to compare variables as appropriate. Matched 1:1 case control-adjusted Kaplan-Meier analyses and Cox regression models were performed to investigate the impact of prior cancer on overall survival (OS). Among 20,987 patients with laryngeal cancer, nearly one-fifth ( = 3,915, 18.65%) had a prior cancer. The top three common prior cancers were prostate (588, 28.1%), lung and bronchus (354, 16.9%), and head and neck (306, 14.6%). A total of 73.4% of the prior cancers were diagnosed within 5 years of the laryngeal cancer diagnosis. Compared to patients without prior cancer, a worse survival was significantly associated with a prior cancer among laryngeal cancer patients, regardless of the interval time of the prior cancer (log-rank tests < 0.001). Furthermore, prior cancer was an independent predictor of worse OS based on the Cox regression model [hazard ratio (HR) = 1.396, 95% confidence interval, 1.336-1.458]. In addition, patients with prior lung and bronchus cancer tended to have the worst survival (log-rank tests < 0.001). Prior cancer has an adverse effect on clinical outcomes among patients with laryngeal cancer. These results suggest that individualized treatment should be seriously considered in patients with laryngeal cancer and a history of prior cancer, regardless of the interval time of prior cancer.

摘要

关于喉癌作为继发肿瘤的临床意义,目前所知甚少。我们旨在确定既往癌症史对喉癌患者患病率和预后的影响。我们回顾性分析了监测、流行病学和最终结果(SEER)数据库中2004年至2011年期间诊断为喉癌的患者。根据情况使用t检验和卡方检验来比较变量。进行1:1匹配的病例对照调整Kaplan-Meier分析和Cox回归模型,以研究既往癌症对总生存期(OS)的影响。在20987例喉癌患者中,近五分之一(n = 3915,18.65%)有既往癌症史。既往最常见的三种癌症是前列腺癌(588例,28.1%)、肺癌和支气管癌(354例,16.9%)以及头颈癌(306例,14.6%)。共有73.4%的既往癌症是在喉癌诊断后5年内确诊的。与无既往癌症的患者相比,喉癌患者中有既往癌症史与较差的生存率显著相关,无论既往癌症的间隔时间如何(对数秩检验P < 0.001)。此外,根据Cox回归模型,既往癌症是总生存期较差的独立预测因素[风险比(HR)= 1.396,95%置信区间,1.336 - 1.458]。此外,有既往肺癌和支气管癌的患者生存期往往最差(对数秩检验P < 0.001)。既往癌症对喉癌患者的临床结局有不良影响。这些结果表明,对于有喉癌病史和既往癌症史的患者,无论既往癌症的间隔时间如何,都应认真考虑个体化治疗。

https://cdn.ncbi.nlm.nih.gov/pmc/blobs/13d2/7608868/01afa16cb054/fonc-10-561330-g0001.jpg

文献AI研究员

20分钟写一篇综述,助力文献阅读效率提升50倍。

立即体验

用中文搜PubMed

大模型驱动的PubMed中文搜索引擎

马上搜索

文档翻译

学术文献翻译模型,支持多种主流文档格式。

立即体验