Suppr超能文献

使用基于卡波姆的水凝胶控制双氯芬酸钠的释放速率:制备与体外评价

Using Carbomer-Based Hydrogels for Control the Release Rate of Diclofenac Sodium: Preparation and In Vitro Evaluation.

作者信息

Suhail Muhammad, Wu Pao-Chu, Minhas Muhammad Usman

机构信息

School of Pharmacy, Kaohsiung Medical University, 100 Shih-Chuan 1st Road, Kaohsiung City 80708, Taiwan.

Department of Medical Research, Kaohsiung Medical University Hospital, Kaohsiung 80708, Taiwan.

出版信息

Pharmaceuticals (Basel). 2020 Nov 17;13(11):399. doi: 10.3390/ph13110399.

Abstract

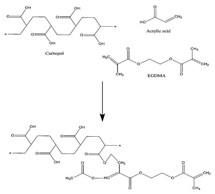
The aim of the current research work was to prepare Car934-g-poly(acrylic acid) hydrogels by the free-radical polymerization technique. Various concentrations of carbopol, acrylic acid and ethylene glycol dimethacrylate were employed for the fabrication of Car934-g-poly(acrylic acid) hydrogels. Fourier-transform infrared spectroscopy (FTIR), Thermogravimetric analysis (TGA), Differential scanning calorimetry (DSC), Scanning electron microscope (SEM) and Powder X-ray diffractometry (PXRD) studies were performed to know the structural arrangement, thermal stability, physical appearance and amorphous network of developed hydrogels. FTIR analysis revealed that carbopol reacted with acrylic acid during the process of polymerization and confirmed the grafting of acrylic acid over the backbone of carbopol. TGA and DSC studies showed that developed hydrogels were thermally stable. Surface morphology was analyzed by SEM, which confirmed a porous network of hydrogels. PXRD analysis indicated that crystallinity of the drug was reduced by the amorphous network of hydrogels. Furthermore, swelling studies for all developed hydrogels were performed at both media, i.e., pH 1.2 and 7.4, and higher swelling was exhibited at pH 7.4. Sol-gel analysis was performed to evaluate the soluble unreacted part of the fabricated hydrogels. Similarly, an in-vitro study was conducted for all hydrogel formulations at both acidic (pH 1.2) and basic (pH 7.4) mediums, and a greater drug release was observed at pH 7.4. Different kinetics such as zero-order, first-order, the Higuchi model and the Korsmeyer-Peppas model were applied to know the mechanism of release order of drugs from the hydrogels.

摘要

当前研究工作的目的是通过自由基聚合技术制备Car934-g-聚(丙烯酸)水凝胶。采用不同浓度的卡波姆、丙烯酸和乙二醇二甲基丙烯酸酯来制备Car934-g-聚(丙烯酸)水凝胶。进行了傅里叶变换红外光谱(FTIR)、热重分析(TGA)、差示扫描量热法(DSC)、扫描电子显微镜(SEM)和粉末X射线衍射(PXRD)研究,以了解所制备水凝胶的结构排列、热稳定性、物理外观和无定形网络。FTIR分析表明,在聚合过程中卡波姆与丙烯酸发生了反应,并证实了丙烯酸接枝到卡波姆主链上。TGA和DSC研究表明,所制备的水凝胶具有热稳定性。通过SEM分析表面形态,证实了水凝胶的多孔网络。PXRD分析表明,水凝胶的无定形网络降低了药物的结晶度。此外,对所有制备的水凝胶在pH 1.2和7.4两种介质中进行了溶胀研究,在pH 7.4时表现出更高的溶胀度。进行了溶胶-凝胶分析,以评估所制备水凝胶中可溶的未反应部分。同样,对所有水凝胶制剂在酸性(pH 1.2)和碱性(pH 7.4)介质中进行了体外研究,在pH 7.4时观察到更大的药物释放。应用了不同的动力学模型,如零级、一级、Higuchi模型和Korsmeyer-Peppas模型,以了解药物从水凝胶中释放的顺序机制。

https://cdn.ncbi.nlm.nih.gov/pmc/blobs/ce82/7698439/ac2575f0b3fa/pharmaceuticals-13-00399-g001.jpg

文献检索

告别复杂PubMed语法,用中文像聊天一样搜索,搜遍4000万医学文献。AI智能推荐,让科研检索更轻松。

立即免费搜索

文件翻译

保留排版,准确专业,支持PDF/Word/PPT等文件格式,支持 12+语言互译。

免费翻译文档

深度研究

AI帮你快速写综述,25分钟生成高质量综述,智能提取关键信息,辅助科研写作。

立即免费体验