Suppr超能文献

儿童期营养不良与生命后期瘦体重与代谢组学和激素特征的关联。

Childhood Malnutrition and Association of Lean Mass with Metabolome and Hormone Profile in Later Life.

机构信息

Nutrition, Metabolism and Genomics Group, Division of Human Nutrition and Health, Wageningen University, 6708 WE Wageningen, The Netherlands.

Laboratory of Gastroenterology, Department of Internal Medicine and Paediatrics, Faculty of Medicine and Health Sciences, Ghent University, 9000 Ghent, Belgium.

出版信息

Nutrients. 2020 Nov 23;12(11):3593. doi: 10.3390/nu12113593.

Abstract

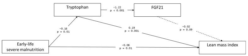
This study aimed to determine the associations of targeted metabolomics and hormone profiles data with lean mass index (LMI), which were estimated using bioelectrical impedance, in survivors of child severe malnutrition (SM) ( = 69) and controls ( = 77) in Malawi 7 years after being treated. Linear associations between individual metabolite or hormone and LMI were determined, including their interaction with nutrition status 7 years prior. Path analysis was performed to determine structural associations. Lastly, predictive models for LMI were developed using the metabolome and hormone profile by elastic net regularized regression (EN). Metabolites including several lipids, amino acids, and hormones were individually associated ( < 0.05 after false discovery rate correction) with LMI. However, plasma FGF21 (Control: β = -0.02, = 0.59; Case: β = -0.14, < 0.001) and tryptophan (Control: β = 0.15, = 0.26; Case: β = 0.70, < 0.001) were associated with LMI among cases but not among controls (both interaction -values < 0.01). Moreover, path analysis revealed that tryptophan mediates the association between child SM and LMI. EN revealed that most predictors of LMI differed between groups, further indicating altered metabolic mechanisms driving lean mass accretion among SM survivors later in life.

摘要

本研究旨在确定靶向代谢组学和激素谱数据与瘦体重指数(LMI)的关联,LMI 是通过生物电阻抗法估算的,研究对象为马拉维的儿童严重营养不良(SM)幸存者(n = 69)和对照组(n = 77),这些幸存者在治疗 7 年后接受了检测。确定了个体代谢物或激素与 LMI 之间的线性关联,包括它们与 7 年前营养状况的相互作用。进行路径分析以确定结构关联。最后,使用代谢组学和激素谱通过弹性网络正则化回归(EN)开发了 LMI 的预测模型。包括几种脂质、氨基酸和激素在内的代谢物与 LMI 呈单独相关(经假发现率校正后 < 0.05)。然而,FGF21(对照组:β = -0.02, = 0.59;病例组:β = -0.14, < 0.001)和色氨酸(对照组:β = 0.15, = 0.26;病例组:β = 0.70, < 0.001)在病例组中与 LMI 相关,但在对照组中不相关(两者的交互作用值均 < 0.01)。此外,路径分析表明,色氨酸介导了儿童 SM 与 LMI 之间的关联。EN 表明,LMI 的大多数预测因素在两组之间存在差异,这进一步表明,在生命后期,SM 幸存者中驱动瘦体重积累的代谢机制发生了改变。

https://cdn.ncbi.nlm.nih.gov/pmc/blobs/d77f/7700560/2942ba429b7b/nutrients-12-03593-g001.jpg

文献检索

告别复杂PubMed语法,用中文像聊天一样搜索,搜遍4000万医学文献。AI智能推荐,让科研检索更轻松。

立即免费搜索

文件翻译

保留排版,准确专业,支持PDF/Word/PPT等文件格式,支持 12+语言互译。

免费翻译文档

深度研究

AI帮你快速写综述,25分钟生成高质量综述,智能提取关键信息,辅助科研写作。

立即免费体验