Suppr超能文献

脑室内神经肽 FF 可减少阿片受体激活引起的呼吸暂停次数和心血管效应。

Intracerebroventricular Neuropeptide FF Diminishes the Number of Apneas and Cardiovascular Effects Produced by Opioid Receptors' Activation.

机构信息

Department of Respiration Physiology, Mossakowski Medical Research Centre, Polish Academy of Sciences, 02-105 Warsaw, Poland.

出版信息

Int J Mol Sci. 2020 Nov 25;21(23):8931. doi: 10.3390/ijms21238931.

Abstract

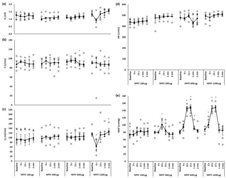
The opioid-induced analgesia is associated with a number of side effects such as addiction, tolerance and respiratory depression. The involvement of neuropeptide FF (NPFF) in modulation of pain perception, opioid-induced tolerance and dependence was well documented in contrast to respiratory depression. Therefore, the aim of the present study was to examine the potency of NPFF to block post-opioid respiratory depression, one of the main adverse effects of opioid therapy. Urethane-chloralose anaesthetized Wistar rats were injected either intravenously (iv) or intracerebroventricularly (icv) with various doses of NPFF prior to iv endomorphin-1 (EM-1) administration. Iv NPFF diminished the number of EM-1-induced apneas without affecting their length and without influence on the EM-1 induced blood pressure decline. Icv pretreatment with NPFF abolished the occurrence of post-EM-1 apneas and reduced also the maximal drop in blood pressure and heart rate. These effects were completely blocked by the NPFF receptor antagonist RF9, which was given as a mixture with NPFF before systemic EM-1 administration. In conclusion, our results showed that centrally administered neuropeptide FF is effective in preventing apnea evoked by stimulation of μ-opioid receptors and the effect was due to activation of central NPFF receptors. Our finding indicates a potential target for reversal of opioid-induced respiratory depression.

摘要

阿片类药物引起的镇痛作用与许多副作用有关,如成瘾、耐受和呼吸抑制。相比呼吸抑制,神经肽 FF(NPFF)在调节疼痛感知、阿片类药物诱导的耐受和依赖中的作用已得到充分证实。因此,本研究旨在研究 NPFF 阻断阿片类药物引起的呼吸抑制的效力,这是阿片类药物治疗的主要不良反应之一。在静脉注射(iv)或脑室内(icv)给予各种剂量的 NPFF 之前,用氨基酮戊酸氯醛麻醉的 Wistar 大鼠静脉内注射内吗啡肽-1(EM-1)。iv NPFF 可减少 EM-1 引起的呼吸暂停次数,而不影响其长度,也不影响 EM-1 引起的血压下降。icv 给予 NPFF 预处理可消除 EM-1 后呼吸暂停的发生,还可减少最大血压和心率下降。这些作用完全被 NPFF 受体拮抗剂 RF9 阻断,该拮抗剂在全身给予 EM-1 之前与 NPFF 混合给予。总之,我们的研究结果表明,中枢给予神经肽 FF 可有效预防刺激μ阿片受体引起的呼吸暂停,其作用是通过激活中枢 NPFF 受体实现的。我们的发现为逆转阿片类药物引起的呼吸抑制提供了一个潜在的靶点。

https://cdn.ncbi.nlm.nih.gov/pmc/blobs/e2c6/7728097/f6bd3b496fb0/ijms-21-08931-g001.jpg

文献AI研究员

20分钟写一篇综述,助力文献阅读效率提升50倍。

立即体验

用中文搜PubMed

大模型驱动的PubMed中文搜索引擎

马上搜索

文档翻译

学术文献翻译模型,支持多种主流文档格式。

立即体验