Suppr超能文献

Flow and Heat Transfer in the Tree-Like Branching Microchannel with/without Dimples.

作者信息

Shui Linqi, Sun Jianhui, Gao Feng, Zhang Chunyan

机构信息

Key Laboratory of NC Machine Tools and Integrated Manufacturing Equipment of the Education Ministry & Key Laboratory of Manufacturing Equipment of Shaanxi Province, Xi'an University of Technology, Xi'an 710048, China.

Xi'an Aerospace Composite Materials Research Institute, Xi'an 710025, China.

出版信息

Entropy (Basel). 2018 May 18;20(5):379. doi: 10.3390/e20050379.

Abstract

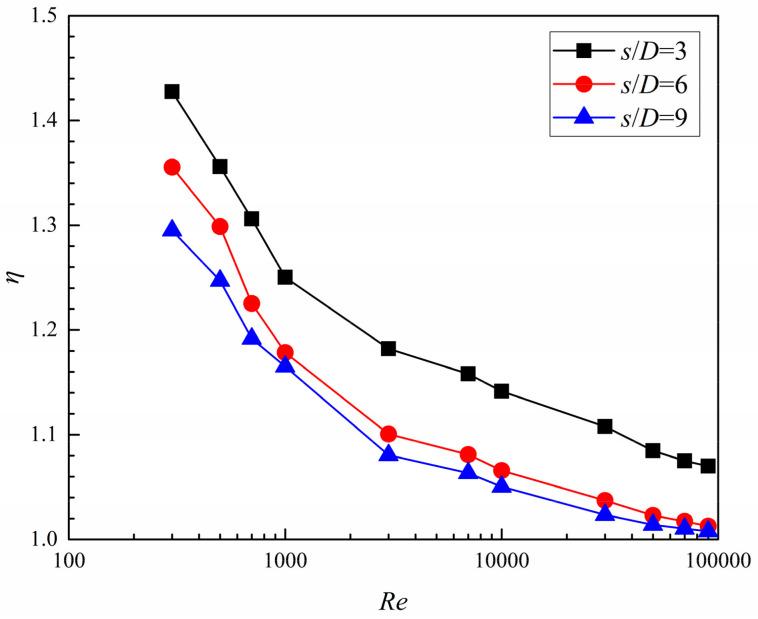
This work displays a numerical and experimental investigation on the flow and heat transfer in tree-like branching microchannels and studies the effects of dimples on the heat transfer enhancement. The numerical approach is certified by a smooth branching microchannel experiment. The verification result shows that the SSG turbulence model can provide a reasonable prediction. Thus, further research on the convective heat transfer in dimpled branching microchannels is conducted with the SSG turbulence model. The results indicate that the dimples can significantly improve the averaged heat transfer performance of branching microchannels, and the heat transfer increment of the branch segment increases with the increase in the branching level. However, the flow dead zones in some dimples at bifurcations and bends suppress the turbulent flow and heat transfer. Furthermore, the number ratio (/) and thermal enhancement factor () both monotonously decrease as the number increases, while the friction factor ratio (/) changes nonlinearly. The entropy generation rates of S ˙ t and S ˙ p in all dimpled cases are lower than those in the smooth case, and the dimpled case with the streamwise spacing to diameter ratio / = 3 obtains the lowest value of augmentation entropy generation () under the high number conditions. /, /, and decline with the increase in the streamwise spacing to diameter ratio (/) from 3 to 9; therefore, the dimpled case with / = 3 shows the best overall thermal performance.

摘要
https://cdn.ncbi.nlm.nih.gov/pmc/blobs/73ea/7512899/f09c39d7aaf8/entropy-20-00379-g001.jpg

文献AI研究员

20分钟写一篇综述,助力文献阅读效率提升50倍。

立即体验

用中文搜PubMed

大模型驱动的PubMed中文搜索引擎

马上搜索

文档翻译

学术文献翻译模型,支持多种主流文档格式。

立即体验