Li Yannanqi, Yang Zhiyong, Chen Ran, Mo Lingchao, Li Juanli, Hu Minggang, Wu Shin-Tson
College of Optics and Photonics, University of Central Florida, Orlando, FL 32816, USA.
Key Laboratory of Applied Surface and Colloid Chemistry, School of Materials Science and Engineering, Shaanxi Normal University, Xi'an 710065, China.
Polymers (Basel). 2020 Nov 30;12(12):2862. doi: 10.3390/polym12122862.
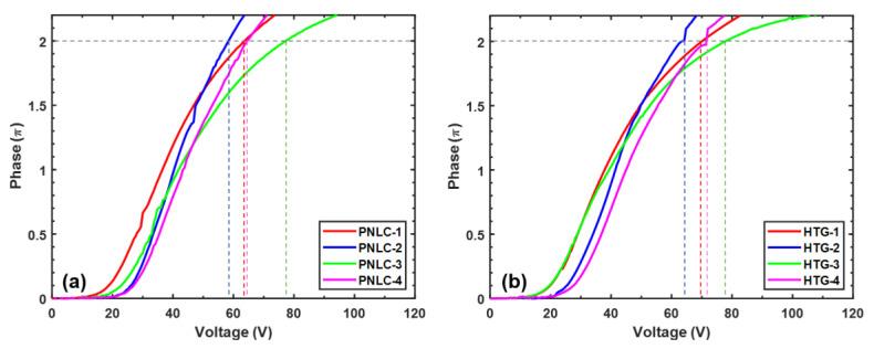
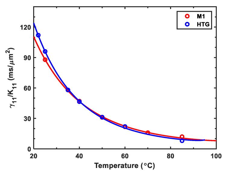
A submillisecond-response and light scattering-free polymer-network liquid crystal (PNLC) for infrared spatial light modulators is demonstrated. Our new liquid crystal host exhibits a higher birefringence, comparable dielectric anisotropy, and slightly lower visco-elastic constant than a commonly employed commercial material, HTG-135200. Moreover, the electro-optical performance of our PNLCs with different monomer concentrations, cell gaps, and liquid crystal (LC) hosts is compared and discussed from four aspects: operating voltage, hysteresis, relaxation time, and light scattering loss. The temperature effect on hysteresis is also analyzed. Potential applications of PNLCs for laser beam steering and spatial light modulators especially in the infrared region are foreseeable.
展示了一种用于红外空间光调制器的亚毫秒响应且无散射的聚合物网络液晶(PNLC)。我们的新型液晶主体表现出比常用商业材料HTG - 135200更高的双折射、相当的介电各向异性以及略低的粘弹性常数。此外,从工作电压、滞后、弛豫时间和光散射损耗四个方面对不同单体浓度、盒厚和液晶(LC)主体的PNLC的电光性能进行了比较和讨论。还分析了温度对滞后的影响。PNLC在激光束控制和空间光调制器中的潜在应用尤其是在红外区域是可预见的。