• 文献检索
  • 文档翻译
  • 深度研究
  • 学术资讯
  • Suppr Zotero 插件Zotero 插件
  • 邀请有礼
  • 套餐&价格
  • 历史记录
应用&插件
Suppr Zotero 插件Zotero 插件浏览器插件Mac 客户端Windows 客户端微信小程序
定价
高级版会员购买积分包购买API积分包
服务
文献检索文档翻译深度研究API 文档MCP 服务
关于我们
关于 Suppr公司介绍联系我们用户协议隐私条款
关注我们

Suppr 超能文献

核心技术专利:CN118964589B侵权必究
粤ICP备2023148730 号-1Suppr @ 2026

文献检索

告别复杂PubMed语法,用中文像聊天一样搜索,搜遍4000万医学文献。AI智能推荐,让科研检索更轻松。

立即免费搜索

文件翻译

保留排版,准确专业,支持PDF/Word/PPT等文件格式,支持 12+语言互译。

免费翻译文档

深度研究

AI帮你快速写综述,25分钟生成高质量综述,智能提取关键信息,辅助科研写作。

立即免费体验

一种基于大面积纳米级氧化石墨烯隔膜的外置光纤法布里-珀罗声学传感器,用于空气中局部放电检测。

A Large-Area and Nanoscale Graphene Oxide Diaphragm-Based Extrinsic Fiber-Optic Fabry-Perot Acoustic Sensor Applied for Partial Discharge Detection in Air.

作者信息

Wang Shuchao, Chen Weigen

机构信息

State Key Laboratory of Transmission & Distribution Equipment and Power System Safety and New Technology (Ministry of Education), School of Electrical Engineering, Chongqing University, Chongqing 400044, China.

出版信息

Nanomaterials (Basel). 2020 Nov 22;10(11):2312. doi: 10.3390/nano10112312.

DOI:10.3390/nano10112312
PMID:33266493
原文链接:https://pmc.ncbi.nlm.nih.gov/articles/PMC7700407/
Abstract

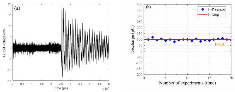
This article presents an extrinsic fiber-optic acoustic sensor applied for partial discharge (PD) detection in air. A Fabry-Perot (F-P) cavity consisting of a single-mode fiber (SMF) and a graphene oxide (GO) film, whose thickness and effective vibration diameter are approximately 500 nm and 4.377 mm, respectively, is used as this sensing core, and the manufacturing process of GO diaphragms and this sensing probe is illustrated to be simple and controllable. Performance tests indicate that this proposed sensor maintains a linear acoustic-pressure response and a flat frequency response in the range of 200 Hz to 20 kHz, while being an omnidirectional sensor and having high working stability during a ten-day test period. Additionally, PD detection results show that the minimum PD size detected by this proposed sensor in air was approximately 100 pC, which demonstrates that this proposed sensor can achieve high-sensitivity PD detection in air.

摘要

本文介绍了一种用于空气中局部放电(PD)检测的外置光纤声学传感器。一个由单模光纤(SMF)和氧化石墨烯(GO)薄膜组成的法布里-珀罗(F-P)腔被用作该传感核心,其厚度和有效振动直径分别约为500 nm和4.377 mm,并且展示了GO膜片和该传感探头的制造过程简单且可控。性能测试表明,该传感器在200 Hz至20 kHz范围内保持线性声压响应和平坦频率响应,同时它是一个全向传感器,并且在为期十天的测试期间具有高工作稳定性。此外,局部放电检测结果表明,该传感器在空气中检测到的最小局部放电尺寸约为100 pC,这表明该传感器能够在空气中实现高灵敏度的局部放电检测。

https://cdn.ncbi.nlm.nih.gov/pmc/blobs/4d95/7700407/03ff388ec0ae/nanomaterials-10-02312-g014.jpg
https://cdn.ncbi.nlm.nih.gov/pmc/blobs/4d95/7700407/b4547baef175/nanomaterials-10-02312-g001.jpg
https://cdn.ncbi.nlm.nih.gov/pmc/blobs/4d95/7700407/98727f7a57cb/nanomaterials-10-02312-g002.jpg
https://cdn.ncbi.nlm.nih.gov/pmc/blobs/4d95/7700407/8e4956dfc6da/nanomaterials-10-02312-g003.jpg
https://cdn.ncbi.nlm.nih.gov/pmc/blobs/4d95/7700407/d6e074551435/nanomaterials-10-02312-g004.jpg
https://cdn.ncbi.nlm.nih.gov/pmc/blobs/4d95/7700407/357d7e9af143/nanomaterials-10-02312-g005.jpg
https://cdn.ncbi.nlm.nih.gov/pmc/blobs/4d95/7700407/8891ce535eea/nanomaterials-10-02312-g006.jpg
https://cdn.ncbi.nlm.nih.gov/pmc/blobs/4d95/7700407/d95fd847b56e/nanomaterials-10-02312-g007.jpg
https://cdn.ncbi.nlm.nih.gov/pmc/blobs/4d95/7700407/ba9c94c1f757/nanomaterials-10-02312-g008.jpg
https://cdn.ncbi.nlm.nih.gov/pmc/blobs/4d95/7700407/2eb3f83e76ca/nanomaterials-10-02312-g009.jpg
https://cdn.ncbi.nlm.nih.gov/pmc/blobs/4d95/7700407/421c2f15c003/nanomaterials-10-02312-g010.jpg
https://cdn.ncbi.nlm.nih.gov/pmc/blobs/4d95/7700407/6e4caa6948d3/nanomaterials-10-02312-g011.jpg
https://cdn.ncbi.nlm.nih.gov/pmc/blobs/4d95/7700407/e6969fb6cb75/nanomaterials-10-02312-g012.jpg
https://cdn.ncbi.nlm.nih.gov/pmc/blobs/4d95/7700407/08f312dbd243/nanomaterials-10-02312-g013.jpg
https://cdn.ncbi.nlm.nih.gov/pmc/blobs/4d95/7700407/03ff388ec0ae/nanomaterials-10-02312-g014.jpg
https://cdn.ncbi.nlm.nih.gov/pmc/blobs/4d95/7700407/b4547baef175/nanomaterials-10-02312-g001.jpg
https://cdn.ncbi.nlm.nih.gov/pmc/blobs/4d95/7700407/98727f7a57cb/nanomaterials-10-02312-g002.jpg
https://cdn.ncbi.nlm.nih.gov/pmc/blobs/4d95/7700407/8e4956dfc6da/nanomaterials-10-02312-g003.jpg
https://cdn.ncbi.nlm.nih.gov/pmc/blobs/4d95/7700407/d6e074551435/nanomaterials-10-02312-g004.jpg
https://cdn.ncbi.nlm.nih.gov/pmc/blobs/4d95/7700407/357d7e9af143/nanomaterials-10-02312-g005.jpg
https://cdn.ncbi.nlm.nih.gov/pmc/blobs/4d95/7700407/8891ce535eea/nanomaterials-10-02312-g006.jpg
https://cdn.ncbi.nlm.nih.gov/pmc/blobs/4d95/7700407/d95fd847b56e/nanomaterials-10-02312-g007.jpg
https://cdn.ncbi.nlm.nih.gov/pmc/blobs/4d95/7700407/ba9c94c1f757/nanomaterials-10-02312-g008.jpg
https://cdn.ncbi.nlm.nih.gov/pmc/blobs/4d95/7700407/2eb3f83e76ca/nanomaterials-10-02312-g009.jpg
https://cdn.ncbi.nlm.nih.gov/pmc/blobs/4d95/7700407/421c2f15c003/nanomaterials-10-02312-g010.jpg
https://cdn.ncbi.nlm.nih.gov/pmc/blobs/4d95/7700407/6e4caa6948d3/nanomaterials-10-02312-g011.jpg
https://cdn.ncbi.nlm.nih.gov/pmc/blobs/4d95/7700407/e6969fb6cb75/nanomaterials-10-02312-g012.jpg
https://cdn.ncbi.nlm.nih.gov/pmc/blobs/4d95/7700407/08f312dbd243/nanomaterials-10-02312-g013.jpg
https://cdn.ncbi.nlm.nih.gov/pmc/blobs/4d95/7700407/03ff388ec0ae/nanomaterials-10-02312-g014.jpg

相似文献

1
A Large-Area and Nanoscale Graphene Oxide Diaphragm-Based Extrinsic Fiber-Optic Fabry-Perot Acoustic Sensor Applied for Partial Discharge Detection in Air.一种基于大面积纳米级氧化石墨烯隔膜的外置光纤法布里-珀罗声学传感器,用于空气中局部放电检测。
Nanomaterials (Basel). 2020 Nov 22;10(11):2312. doi: 10.3390/nano10112312.
2
Research on Transformer Omnidirectional Partial Discharge Ultrasound Sensing Method Combining F-P Cavity and FBG.基于法布里-珀罗腔与光纤布拉格光栅的变压器全向局部放电超声传感方法研究
Sensors (Basel). 2023 Dec 5;23(24):9642. doi: 10.3390/s23249642.
3
Ultrathin graphene diaphragm-based extrinsic Fabry-Perot interferometer for ultra-wideband fiber optic acoustic sensing.用于超宽带光纤声学传感的基于超薄石墨烯膜的外腔法布里-珀罗干涉仪
Opt Express. 2018 Aug 6;26(16):20758-20767. doi: 10.1364/OE.26.020758.
4
High-sensitivity fiber optic Fabry-Perot ultrasonic sensor based on a grooved silicon diaphragm for partial discharge detection.基于带槽硅膜片的高灵敏度光纤法布里-珀罗超声传感器用于局部放电检测。
Appl Opt. 2023 Sep 1;62(25):6809-6815. doi: 10.1364/AO.494459.
5
A Miniature Fabry-Pérot Fiber Interference Sensor Based on Polyvinyl Chloride Membrane for Acoustic Pressure Sensing in Mid-High-Frequency Band.一种基于聚氯乙烯膜的微型法布里-珀罗光纤干涉传感器,用于中高频带声压传感。
Materials (Basel). 2021 Dec 10;14(24):7605. doi: 10.3390/ma14247605.
6
Ultrasensitive Acoustic Detection Using an Enlarged Fabry-Perot Cavity with a Graphene Diaphragm.使用带有石墨烯膜片的扩大法布里-珀罗腔的超灵敏声学检测
ACS Appl Mater Interfaces. 2023 Nov 8;15(44):51390-51398. doi: 10.1021/acsami.3c11220. Epub 2023 Oct 26.
7
Evaluating a Human Ear-Inspired Sound Pressure Amplification Structure with Fabry-Perot Acoustic Sensor Using Graphene Diaphragm.使用石墨烯隔膜的法布里-珀罗声学传感器评估一种受人类耳朵启发的声压放大结构。
Nanomaterials (Basel). 2021 Sep 2;11(9):2284. doi: 10.3390/nano11092284.
8
Compact optical fiber photoacoustic gas sensor with integrated multi-pass cell.集成多程池的紧凑型光纤光声气体传感器。
Photoacoustics. 2023 Jun 20;32:100524. doi: 10.1016/j.pacs.2023.100524. eCollection 2023 Aug.
9
MEMS-on-fiber ultrasonic sensor with two resonant frequencies for partial discharges detection.用于局部放电检测的具有两个谐振频率的光纤微机电系统超声传感器。
Opt Express. 2020 Jun 8;28(12):18431-18439. doi: 10.1364/OE.391242.
10
High-sensitivity and fast-response fiber-tip Fabry-Pérot hydrogen sensor with suspended palladium-decorated graphene.具有悬浮钯修饰石墨烯的高灵敏度快速响应光纤尖端法布里-珀罗氢气传感器。
Nanoscale. 2019 Aug 29;11(34):15821-15827. doi: 10.1039/c9nr04274a.

引用本文的文献

1
High-fidelity optical fiber microphone based on graphene oxide and Au nanocoating.基于氧化石墨烯和金纳米涂层的高保真光纤麦克风。
Nanophotonics. 2023 Sep 20;12(19):3707-3719. doi: 10.1515/nanoph-2023-0209. eCollection 2023 Sep.
2
Distributed Partial Discharge Locating and Detecting Scheme Based on Optical Fiber Rayleigh Backscattering Light Interference.基于光纤瑞利背向散射光干涉的分布式局部放电定位与检测方案。
Sensors (Basel). 2023 Feb 6;23(4):1828. doi: 10.3390/s23041828.
3
Fabry-Perot Interference Fiber Acoustic Wave Sensor Based on Laser Welding All-Silica Glass.

本文引用的文献

1
Fiber-optic Fabry-Perot pressure sensor based on low-temperature co-fired ceramic technology for high-temperature applications.基于低温共烧陶瓷技术的用于高温应用的光纤法布里-珀罗压力传感器。
Appl Opt. 2018 May 20;57(15):4211-4215. doi: 10.1364/AO.57.004211.
2
Microbubble-based fiber-optic Fabry-Perot pressure sensor for high-temperature application.用于高温应用的基于微泡的光纤法布里-珀罗压力传感器。
Appl Opt. 2018 Mar 10;57(8):1738-1743. doi: 10.1364/AO.57.001738.
3
Ultrasensitive Pressure Detection of Few-Layer MoS.基于少层 MoS. 的超高灵敏压力检测
基于激光焊接全石英玻璃的法布里-珀罗干涉型光纤声波传感器
Materials (Basel). 2022 Mar 28;15(7):2484. doi: 10.3390/ma15072484.
4
Evaluating a Human Ear-Inspired Sound Pressure Amplification Structure with Fabry-Perot Acoustic Sensor Using Graphene Diaphragm.使用石墨烯隔膜的法布里-珀罗声学传感器评估一种受人类耳朵启发的声压放大结构。
Nanomaterials (Basel). 2021 Sep 2;11(9):2284. doi: 10.3390/nano11092284.
5
Pronounced Linewidth Narrowing of Vertical Metallic Split-Ring Resonators via Strong Coupling with Metal Surface.通过与金属表面的强耦合实现垂直金属分裂环谐振器的显著线宽变窄
Nanomaterials (Basel). 2021 Aug 26;11(9):2194. doi: 10.3390/nano11092194.
Adv Mater. 2017 Jan;29(4). doi: 10.1002/adma.201603266. Epub 2016 Oct 17.
4
Demodulation of diaphragm based acoustic sensor using Sagnac interferometer with stable phase bias.使用具有稳定相位偏置的萨格纳克干涉仪对基于隔膜的声学传感器进行解调。
Opt Express. 2015 Nov 2;23(22):29268-78. doi: 10.1364/OE.23.029268.
5
Dual hollow core fiber-based Fabry-Perot interferometer for measuring the thermo-optic coefficients of liquids.用于测量液体热光系数的基于双空心光纤的法布里-珀罗干涉仪。
Opt Lett. 2015 Feb 15;40(4):459-62. doi: 10.1364/OL.40.000459.
6
Fiber-optic acoustic pressure sensor based on large-area nanolayer silver diaghragm.基于大面积纳米层银膜片的光纤声压传感器。
Opt Lett. 2014 May 15;39(10):2838-40. doi: 10.1364/OL.39.002838.
7
Sub-micron silica diaphragm-based fiber-tip Fabry-Perot interferometer for pressure measurement.用于压力测量的基于亚微米二氧化硅膜片的光纤尖端法布里-珀罗干涉仪。
Opt Lett. 2014 May 15;39(10):2827-30. doi: 10.1364/OL.39.002827.
8
Compressible fiber optic micro-Fabry-Pérot cavity with ultra-high pressure sensitivity.具有超高压力灵敏度的可压缩光纤微法布里-珀罗腔。
Opt Express. 2013 Jun 17;21(12):14084-9. doi: 10.1364/OE.21.014084.
9
High-sensitivity, high-frequency extrinsic Fabry-Perot interferometric fiber-tip sensor based on a thin silver diaphragm.基于薄银膜片的高灵敏度、高频外腔 Fabry-Perot 干涉光纤尖端传感器。
Opt Lett. 2012 May 1;37(9):1505-7. doi: 10.1364/OL.37.001505.
10
Mechanical properties of monolayer graphene oxide.单层氧化石墨烯的力学性能。
ACS Nano. 2010 Nov 23;4(11):6557-64. doi: 10.1021/nn101781v. Epub 2010 Oct 13.