• 文献检索
  • 文档翻译
  • 深度研究
  • 学术资讯
  • Suppr Zotero 插件Zotero 插件
  • 邀请有礼
  • 套餐&价格
  • 历史记录
应用&插件
Suppr Zotero 插件Zotero 插件浏览器插件Mac 客户端Windows 客户端微信小程序
定价
高级版会员购买积分包购买API积分包
服务
文献检索文档翻译深度研究API 文档MCP 服务
关于我们
关于 Suppr公司介绍联系我们用户协议隐私条款
关注我们

Suppr 超能文献

核心技术专利:CN118964589B侵权必究
粤ICP备2023148730 号-1Suppr @ 2026

文献检索

告别复杂PubMed语法,用中文像聊天一样搜索,搜遍4000万医学文献。AI智能推荐,让科研检索更轻松。

立即免费搜索

文件翻译

保留排版,准确专业,支持PDF/Word/PPT等文件格式,支持 12+语言互译。

免费翻译文档

深度研究

AI帮你快速写综述,25分钟生成高质量综述,智能提取关键信息,辅助科研写作。

立即免费体验

随机分布协同系统的故障诊断与最小理性熵容错控制

Fault Diagnosis and Minimum Rational Entropy Fault Tolerant Control of Stochastic Distribution Collaborative Systems.

作者信息

Yao Lina, Wu Wei, Kang Yunfeng, Li Lifan

机构信息

College of Electrical Engineering, Zhengzhou University, Zhengzhou 450001, China.

出版信息

Entropy (Basel). 2018 Oct 24;20(11):820. doi: 10.3390/e20110820.

DOI:10.3390/e20110820
PMID:33266544
原文链接:https://pmc.ncbi.nlm.nih.gov/articles/PMC7512381/
Abstract

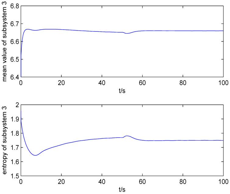
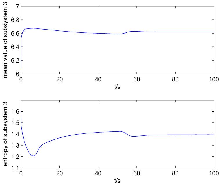
In this paper, a fault-tolerant control scheme is presented for a class of stochastic distribution collaborative control systems, which are composed of three subsystems connected in series to complete the control target. The radial basis function neural network is used to approximate the output probability density function of the third subsystem, which is also the output of the entire system. When fault occurs in the first subsystem, an adaptive diagnostic observer is designed to estimate the value of fault. However, the first subsystem does not have the ability of self-recovery, minimum rational entropy controllers are designed in the latter subsystems to compensate the influence of the fault and minimize the entropy of the system output. A numerical simulation is given to verify the effectiveness of the proposed scheme.

摘要

本文针对一类由三个串联子系统组成以完成控制目标的随机分布协同控制系统,提出了一种容错控制方案。采用径向基函数神经网络逼近第三子系统的输出概率密度函数,该函数也是整个系统的输出。当第一子系统发生故障时,设计自适应诊断观测器来估计故障值。然而,第一子系统不具备自我恢复能力,在后两个子系统中设计最小有理熵控制器以补偿故障影响并使系统输出的熵最小化。给出了数值仿真以验证所提方案的有效性。

https://cdn.ncbi.nlm.nih.gov/pmc/blobs/24ef/7512381/a8234c73cecb/entropy-20-00820-g010.jpg
https://cdn.ncbi.nlm.nih.gov/pmc/blobs/24ef/7512381/d3335100c7f6/entropy-20-00820-g001.jpg
https://cdn.ncbi.nlm.nih.gov/pmc/blobs/24ef/7512381/be774d8caa63/entropy-20-00820-g002.jpg
https://cdn.ncbi.nlm.nih.gov/pmc/blobs/24ef/7512381/d025b5714f92/entropy-20-00820-g003.jpg
https://cdn.ncbi.nlm.nih.gov/pmc/blobs/24ef/7512381/eac9ea70a888/entropy-20-00820-g004.jpg
https://cdn.ncbi.nlm.nih.gov/pmc/blobs/24ef/7512381/573478efb085/entropy-20-00820-g005.jpg
https://cdn.ncbi.nlm.nih.gov/pmc/blobs/24ef/7512381/a3fb84727677/entropy-20-00820-g006.jpg
https://cdn.ncbi.nlm.nih.gov/pmc/blobs/24ef/7512381/0dee54c03729/entropy-20-00820-g007.jpg
https://cdn.ncbi.nlm.nih.gov/pmc/blobs/24ef/7512381/48c6dc2d0da3/entropy-20-00820-g008.jpg
https://cdn.ncbi.nlm.nih.gov/pmc/blobs/24ef/7512381/7c60a48c96ae/entropy-20-00820-g009.jpg
https://cdn.ncbi.nlm.nih.gov/pmc/blobs/24ef/7512381/a8234c73cecb/entropy-20-00820-g010.jpg
https://cdn.ncbi.nlm.nih.gov/pmc/blobs/24ef/7512381/d3335100c7f6/entropy-20-00820-g001.jpg
https://cdn.ncbi.nlm.nih.gov/pmc/blobs/24ef/7512381/be774d8caa63/entropy-20-00820-g002.jpg
https://cdn.ncbi.nlm.nih.gov/pmc/blobs/24ef/7512381/d025b5714f92/entropy-20-00820-g003.jpg
https://cdn.ncbi.nlm.nih.gov/pmc/blobs/24ef/7512381/eac9ea70a888/entropy-20-00820-g004.jpg
https://cdn.ncbi.nlm.nih.gov/pmc/blobs/24ef/7512381/573478efb085/entropy-20-00820-g005.jpg
https://cdn.ncbi.nlm.nih.gov/pmc/blobs/24ef/7512381/a3fb84727677/entropy-20-00820-g006.jpg
https://cdn.ncbi.nlm.nih.gov/pmc/blobs/24ef/7512381/0dee54c03729/entropy-20-00820-g007.jpg
https://cdn.ncbi.nlm.nih.gov/pmc/blobs/24ef/7512381/48c6dc2d0da3/entropy-20-00820-g008.jpg
https://cdn.ncbi.nlm.nih.gov/pmc/blobs/24ef/7512381/7c60a48c96ae/entropy-20-00820-g009.jpg
https://cdn.ncbi.nlm.nih.gov/pmc/blobs/24ef/7512381/a8234c73cecb/entropy-20-00820-g010.jpg

相似文献

1
Fault Diagnosis and Minimum Rational Entropy Fault Tolerant Control of Stochastic Distribution Collaborative Systems.随机分布协同系统的故障诊断与最小理性熵容错控制
Entropy (Basel). 2018 Oct 24;20(11):820. doi: 10.3390/e20110820.
2
A Distributed Fault Diagnosis and Cooperative Fault-Tolerant Control Design Framework for Distributed Interconnected Systems.一种用于分布式互联系统的分布式故障诊断与协同容错控制设计框架。
Sensors (Basel). 2022 Mar 23;22(7):2480. doi: 10.3390/s22072480.
3
Reduced-order observer based fault estimation and fault-tolerant control for switched stochastic systems with actuator and sensor faults.基于降阶观测器的具有执行器和传感器故障的切换随机系统的故障估计与容错控制
ISA Trans. 2019 May;88:91-101. doi: 10.1016/j.isatra.2018.11.045. Epub 2018 Dec 13.
4
Novel neural networks-based fault tolerant control scheme with fault alarm.基于新型神经网络的容错控制方案及故障报警
IEEE Trans Cybern. 2014 Nov;44(11):2190-201. doi: 10.1109/TCYB.2014.2303131. Epub 2014 Jul 8.
5
Adaptive Fault-Tolerant Control of Uncertain Nonlinear Large-Scale Systems With Unknown Dead Zone.具有未知死区的不确定非线性大系统的自适应容错控制
IEEE Trans Cybern. 2016 Aug;46(8):1851-62. doi: 10.1109/TCYB.2015.2456028. Epub 2015 Aug 31.
6
Adaptive Observer Based Fault Tolerant Control for Sensor and Actuator Faults in Wind Turbines.基于自适应观测器的风力发电机组传感器和执行器故障容错控制
Sensors (Basel). 2021 Dec 7;21(24):8170. doi: 10.3390/s21248170.
7
Observer-Based Adaptive Fuzzy Fault-Tolerant Optimal Control for SISO Nonlinear Systems.基于观测器的自适应模糊容错最优控制在 SISO 非线性系统中的应用
IEEE Trans Cybern. 2019 Feb;49(2):649-661. doi: 10.1109/TCYB.2017.2785801. Epub 2018 Jan 4.
8
Adaptive Neural Networks Decentralized FTC Design for Nonstrict-Feedback Nonlinear Interconnected Large-Scale Systems Against Actuator Faults.自适应神经网络分散式 FTC 设计用于抗执行器故障的非严格反馈非线性互联大系统。
IEEE Trans Neural Netw Learn Syst. 2017 Nov;28(11):2541-2554. doi: 10.1109/TNNLS.2016.2598580.
9
Fault detection and diagnosis for non-Gaussian stochastic distribution systems with time delays via RBF neural networks.基于 RBF 神经网络的时滞非高斯随机分布系统故障检测与诊断。
ISA Trans. 2012 Nov;51(6):786-91. doi: 10.1016/j.isatra.2012.07.003. Epub 2012 Aug 14.
10
Adaptive fault tolerant control for time-varying delay system with actuator fault and mismatched disturbance.
ISA Trans. 2019 Jun;89:122-130. doi: 10.1016/j.isatra.2018.12.024. Epub 2018 Dec 23.

引用本文的文献

1
Event-Triggered Adaptive Fault Tolerant Control for a Class of Uncertain Nonlinear Systems.一类不确定非线性系统的事件触发自适应容错控制
Entropy (Basel). 2020 May 27;22(6):598. doi: 10.3390/e22060598.

本文引用的文献

1
Fault detection and diagnosis for non-Gaussian stochastic distribution systems with time delays via RBF neural networks.基于 RBF 神经网络的时滞非高斯随机分布系统故障检测与诊断。
ISA Trans. 2012 Nov;51(6):786-91. doi: 10.1016/j.isatra.2012.07.003. Epub 2012 Aug 14.