Suppr超能文献

FeCoNi(CuAl)Sn(0≤≤0.10)高熵合金的磁性和微观结构

Magnetic Properties and Microstructure of FeCoNi(CuAl)Sn (0 ≤ ≤ 0.10) High-Entropy Alloys.

作者信息

Li Zhong, Wang Chenxu, Yu Linye, Gu Yong, Pan Minxiang, Tan Xiaohua, Xu Hui

机构信息

Institute of Materials Science, School of Materials Science and Engineering, Shanghai University, Shanghai 200072, China.

Shanghai Marine Diesel Engine Reserch Institute, Shanghai 201108, China.

出版信息

Entropy (Basel). 2018 Nov 13;20(11):872. doi: 10.3390/e20110872.

Abstract

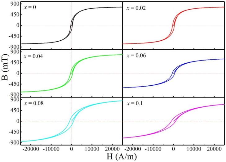
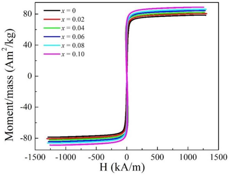
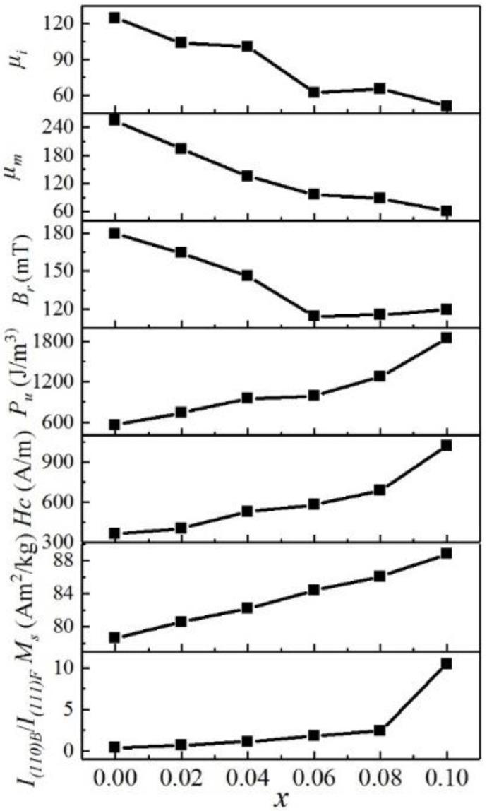
The present work exhibits the effects of Sn addition on the magnetic properties and microstructure of FeCoNi(CuAl)Sn (0 ≤ ≤ 0.10) high-entropy alloys (HEAs). The results show all the samples consist of a mixed structure of face-centered-cubic (FCC) phase and body-centered-cubic (BCC) phase. The addition of Sn promotes the formation of BCC phase, and it also affects the shape of Cu-rich nano-precipitates in BCC matrix. It also shows that the Curie temperatures () of the FCC phase and the saturation magnetization () of the FeCoNi(CuAl)Sn (0 ≤ ≤ 0.10) HEAs increase greatly while the remanence () decreases after the addition of Sn into FeCoNi(CuAl) HEA. The thermomagnetic curves indicate that the phases of the FeCoNi(CuAl)Sn (0 ≤ ≤ 0.10) HEAs will transform from FCC with low to BCC phase with high at temperature of 600-700 K. This work provides a new idea for FeCoNi(CuAl)Sn (0 ≤ ≤ 0.10) HEAs for their potential application as soft magnets to be used at high temperatures.

摘要

本研究展示了添加锡对FeCoNi(CuAl)Sn(0≤≤0.10)高熵合金(HEAs)磁性能和微观结构的影响。结果表明,所有样品均由面心立方(FCC)相和体心立方(BCC)相的混合结构组成。锡的添加促进了BCC相的形成,并且还影响了BCC基体中富铜纳米析出物的形状。研究还表明,在FeCoNi(CuAl) HEA中添加锡后,FCC相的居里温度()和FeCoNi(CuAl)Sn(0≤≤0.10)高熵合金的饱和磁化强度()大幅增加,而剩磁()降低。热磁曲线表明,FeCoNi(CuAl)Sn(0≤≤0.10)高熵合金的相在600 - 700 K的温度下将从低的FCC相转变为高的BCC相。这项工作为FeCoNi(CuAl)Sn(0≤≤0.10)高熵合金作为高温软磁体的潜在应用提供了新思路。

https://cdn.ncbi.nlm.nih.gov/pmc/blobs/6205/7512446/6cc3c487c437/entropy-20-00872-g001.jpg

文献检索

告别复杂PubMed语法,用中文像聊天一样搜索,搜遍4000万医学文献。AI智能推荐,让科研检索更轻松。

立即免费搜索

文件翻译

保留排版,准确专业,支持PDF/Word/PPT等文件格式,支持 12+语言互译。

免费翻译文档

深度研究

AI帮你快速写综述,25分钟生成高质量综述,智能提取关键信息,辅助科研写作。

立即免费体验