Suppr超能文献

作为随机数生成器熵源的确定性混沌分析

An Analysis of Deterministic Chaos as an Entropy Source for Random Number Generators.

作者信息

Demir Kaya, Ergün Salih

机构信息

TÜBİTAK-Informatics and Information Security Research Center, 41470 Gebze, Kocaeli, Turkey.

出版信息

Entropy (Basel). 2018 Dec 11;20(12):957. doi: 10.3390/e20120957.

Abstract

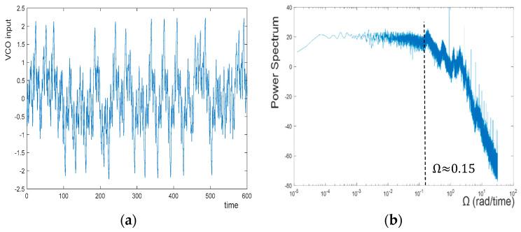
This paper presents an analytical study on the use of deterministic chaos as an entropy source for the generation of random numbers. The chaotic signal generated by a phase-locked loop (PLL) device is investigated using numerical simulations. Depending on the system parameters, the chaos originating from the PLL device can be either bounded or unbounded in the phase direction. Bounded and unbounded chaos differs in terms of the flatness of the power spectrum associated with the chaotic signal. Random bits are generated by regular sampling of the signal from bounded and unbounded chaos. A white Gaussian noise source is also sampled regularly to generate random bits. By varying the sampling frequency, and based on the autocorrelation and the approximate entropy analysis of the resulting bit sequences, a comparison is made between bounded chaos, unbounded chaos and Gaussian white noise as an entropy source for random number generators.

摘要

本文提出了一项关于将确定性混沌用作随机数生成的熵源的分析研究。使用数值模拟研究了锁相环(PLL)设备生成的混沌信号。根据系统参数,源自PLL设备的混沌在相位方向上可以是有界的或无界的。有界混沌和无界混沌在与混沌信号相关的功率谱平坦度方面有所不同。通过对有界和无界混沌信号进行规则采样来生成随机比特。还对白色高斯噪声源进行规则采样以生成随机比特。通过改变采样频率,并基于所得比特序列的自相关和近似熵分析,对有界混沌、无界混沌和高斯白噪声作为随机数发生器的熵源进行了比较。

https://cdn.ncbi.nlm.nih.gov/pmc/blobs/df80/7512540/cf304226ab2b/entropy-20-00957-g002.jpg

文献AI研究员

20分钟写一篇综述,助力文献阅读效率提升50倍。

立即体验

用中文搜PubMed

大模型驱动的PubMed中文搜索引擎

马上搜索

文档翻译

学术文献翻译模型,支持多种主流文档格式。

立即体验