• 文献检索
  • 文档翻译
  • 深度研究
  • 学术资讯
  • Suppr Zotero 插件Zotero 插件
  • 邀请有礼
  • 套餐&价格
  • 历史记录
应用&插件
Suppr Zotero 插件Zotero 插件浏览器插件Mac 客户端Windows 客户端微信小程序
定价
高级版会员购买积分包购买API积分包
服务
文献检索文档翻译深度研究API 文档MCP 服务
关于我们
关于 Suppr公司介绍联系我们用户协议隐私条款
关注我们

Suppr 超能文献

核心技术专利:CN118964589B侵权必究
粤ICP备2023148730 号-1Suppr @ 2026

文献检索

告别复杂PubMed语法,用中文像聊天一样搜索,搜遍4000万医学文献。AI智能推荐,让科研检索更轻松。

立即免费搜索

文件翻译

保留排版,准确专业,支持PDF/Word/PPT等文件格式,支持 12+语言互译。

免费翻译文档

深度研究

AI帮你快速写综述,25分钟生成高质量综述,智能提取关键信息,辅助科研写作。

立即免费体验

基于证据聚类的紧凑信念规则库分类学习

Compact Belief Rule Base Learning for Classification with Evidential Clustering.

作者信息

Jiao Lianmeng, Geng Xiaojiao, Pan Quan

机构信息

School of Automation, Northwestern Polytechnical University, Xi'an 710072, China.

出版信息

Entropy (Basel). 2019 Apr 28;21(5):443. doi: 10.3390/e21050443.

DOI:10.3390/e21050443
PMID:33267157
原文链接:https://pmc.ncbi.nlm.nih.gov/articles/PMC7514932/
Abstract

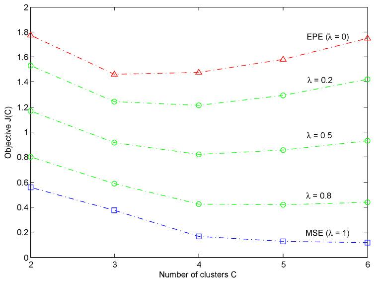
The belief rule-based classification system (BRBCS) is a promising technique for addressing different types of uncertainty in complex classification problems, by introducing the belief function theory into the classical fuzzy rule-based classification system. However, in the BRBCS, high numbers of instances and features generally induce a belief rule base (BRB) with large size, which degrades the interpretability of the classification model for big data sets. In this paper, a BRB learning method based on the evidential C-means clustering (ECM) algorithm is proposed to efficiently design a compact belief rule-based classification system (CBRBCS). First, a supervised version of the ECM algorithm is designed by means of weighted product-space clustering to partition the training set with the goals of obtaining both good inter-cluster separability and inner-cluster pureness. Then, a systematic method is developed to construct belief rules based on the obtained credal partitions. Finally, an evidential partition entropy-based optimization procedure is designed to get a compact BRB with a better trade-off between accuracy and interpretability. The key benefit of the proposed CBRBCS is that it can provide a more interpretable classification model on the premise of comparative accuracy. Experiments based on synthetic and real data sets have been conducted to evaluate the classification accuracy and interpretability of the proposal.

摘要

基于置信规则的分类系统(BRBCS)是一种很有前景的技术,通过将置信函数理论引入经典的基于模糊规则的分类系统,来解决复杂分类问题中不同类型的不确定性。然而,在BRBCS中,大量的实例和特征通常会导致生成一个规模较大的置信规则库(BRB),这会降低大数据集分类模型的可解释性。本文提出了一种基于证据C均值聚类(ECM)算法的BRB学习方法,以有效地设计一个紧凑的基于置信规则的分类系统(CBRBCS)。首先,通过加权乘积空间聚类设计了一种ECM算法的监督版本,对训练集进行划分,目标是获得良好的类间可分性和类内纯度。然后,开发了一种系统方法,基于获得的信任划分来构建置信规则。最后,设计了一种基于证据划分熵的优化过程,以获得一个紧凑的BRB,在准确性和可解释性之间取得更好的平衡。所提出的CBRBCS的关键优势在于,它能够在保证相当准确性的前提下,提供一个更具可解释性的分类模型。已基于合成数据集和真实数据集进行了实验,以评估该方法的分类准确性和可解释性。

https://cdn.ncbi.nlm.nih.gov/pmc/blobs/f5e7/7514932/e613a469d07a/entropy-21-00443-g004.jpg
https://cdn.ncbi.nlm.nih.gov/pmc/blobs/f5e7/7514932/2cf72d06a8d4/entropy-21-00443-g001.jpg
https://cdn.ncbi.nlm.nih.gov/pmc/blobs/f5e7/7514932/8485395e3129/entropy-21-00443-g002.jpg
https://cdn.ncbi.nlm.nih.gov/pmc/blobs/f5e7/7514932/0c1664bb7042/entropy-21-00443-g003.jpg
https://cdn.ncbi.nlm.nih.gov/pmc/blobs/f5e7/7514932/e613a469d07a/entropy-21-00443-g004.jpg
https://cdn.ncbi.nlm.nih.gov/pmc/blobs/f5e7/7514932/2cf72d06a8d4/entropy-21-00443-g001.jpg
https://cdn.ncbi.nlm.nih.gov/pmc/blobs/f5e7/7514932/8485395e3129/entropy-21-00443-g002.jpg
https://cdn.ncbi.nlm.nih.gov/pmc/blobs/f5e7/7514932/0c1664bb7042/entropy-21-00443-g003.jpg
https://cdn.ncbi.nlm.nih.gov/pmc/blobs/f5e7/7514932/e613a469d07a/entropy-21-00443-g004.jpg

相似文献

1
Compact Belief Rule Base Learning for Classification with Evidential Clustering.基于证据聚类的紧凑信念规则库分类学习
Entropy (Basel). 2019 Apr 28;21(5):443. doi: 10.3390/e21050443.
2
An interpretable model for stock price movement prediction based on the hierarchical belief rule base.一种基于分层置信规则库的股票价格走势预测可解释模型。
Heliyon. 2023 May 26;9(6):e16589. doi: 10.1016/j.heliyon.2023.e16589. eCollection 2023 Jun.
3
A new unmanned aerial vehicle intrusion detection method based on belief rule base with evidential reasoning.一种基于证据推理的置信规则库的新型无人机入侵检测方法。
Heliyon. 2022 Sep 5;8(9):e10481. doi: 10.1016/j.heliyon.2022.e10481. eCollection 2022 Sep.
4
A new interpretable belief rule base model with step-length convergence strategy for aerospace relay health state assessment.一种用于航天继电器健康状态评估的具有步长收敛策略的新型可解释性置信规则库模型。
Sci Rep. 2023 Aug 28;13(1):14066. doi: 10.1038/s41598-023-41305-z.
5
EVCLUS: evidential clustering of proximity data.
IEEE Trans Syst Man Cybern B Cybern. 2004 Feb;34(1):95-109. doi: 10.1109/tsmcb.2002.806496.
6
Deep belief rule based photovoltaic power forecasting method with interpretability.基于深度置信规则且具有可解释性的光伏发电功率预测方法
Sci Rep. 2022 Aug 24;12(1):14467. doi: 10.1038/s41598-022-18820-6.
7
Design of accurate classifiers with a compact fuzzy-rule base using an evolutionary scatter partition of feature space.利用特征空间的进化散射划分设计具有紧凑模糊规则库的精确分类器。
IEEE Trans Syst Man Cybern B Cybern. 2004 Apr;34(2):1031-44. doi: 10.1109/tsmcb.2003.819160.
8
Belief Entropy Tree and Random Forest: Learning from Data with Continuous Attributes and Evidential Labels.信念熵树与随机森林:从具有连续属性和证据标签的数据中学习。
Entropy (Basel). 2022 Apr 26;24(5):605. doi: 10.3390/e24050605.
9
A novel optimization method for belief rule base expert system with activation rate.一种具有激活率的置信规则库专家系统的新型优化方法。
Sci Rep. 2023 Jan 11;13(1):584. doi: 10.1038/s41598-023-27498-3.
10
Learning Interpretable Rules for Scalable Data Representation and Classification.学习用于可扩展数据表示和分类的可解释规则。
IEEE Trans Pattern Anal Mach Intell. 2024 Feb;46(2):1121-1133. doi: 10.1109/TPAMI.2023.3328881. Epub 2024 Jan 8.

本文引用的文献

1
A New Belief Entropy to Measure Uncertainty of Basic Probability Assignments Based on Belief Function and Plausibility Function.一种基于信度函数和似真度函数来度量基本概率赋值不确定性的新信度熵。
Entropy (Basel). 2018 Nov 3;20(11):842. doi: 10.3390/e20110842.
2
EVCLUS: evidential clustering of proximity data.
IEEE Trans Syst Man Cybern B Cybern. 2004 Feb;34(1):95-109. doi: 10.1109/tsmcb.2002.806496.