Suppr超能文献

活化单核细胞和内皮功能障碍对埃及成年β地中海贫血患者凝血病的影响。

Impact of activated monocyte and endothelial dysfunction on coagulopathy in Egyptian adult beta thalassemic patients.

作者信息

Abd El-Samee Hanaa, Bassiouny Noha, Nabih Nermeen

机构信息

Department of Internal Medicine, Clinical Hematology Division.

Department of Clinical Pathology, Faculty of Medicine, Ain Shams University, Cairo, Egypt.

出版信息

Hematol Rep. 2020 Nov 17;12(2):8365. doi: 10.4081/hr.2020.8365. eCollection 2020 Nov 16.

Abstract

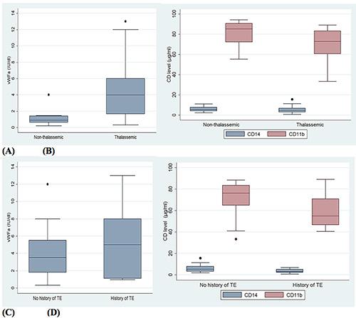
The mechanism of the well observed hypercoagulability and high incidence of Thromboembolic Events (TE) in β- thalassemia patients has not been fully elucidated. This study aimed to evaluate evaluate the endothelial dysfunction and monocyte activation among adult Egyptian β-thalassemic patients and assess their role in the hypercoagulability and development of TE. A total of 40 adults patients with bthalassemics and 20 healthy age and sex-matched controls were assessed for endothelial dysfunction using serum Von Willebrand Factor Antigen (VWFAg) and for monocytic activation using flow cytometric assessment of CD14 monocyte microparticles and CD11b activated monocytes. The VWF:Ag level was significantly higher among thalassemic patients (P<0.001) and was positively correlated to development of TE (P<0.05). There was no significance difference for CD14 between patients and controls (P>0.5) and CD11b was higher in controls (P=0.004) with no significant correlation between both and TE development (P>0.05). VWF:Ag is increased in thalassemic patients and could be used as a risk factor for thrombosis in these patients, while no identified role of activated monocytes in thrombotic tendency in such patients.

摘要

β地中海贫血患者中观察到的高凝状态及血栓栓塞事件(TE)高发生率的机制尚未完全阐明。本研究旨在评估成年埃及β地中海贫血患者的内皮功能障碍和单核细胞活化情况,并评估它们在高凝状态及TE发生发展中的作用。共对40例成年β地中海贫血患者及20例年龄和性别匹配的健康对照者进行了评估,使用血清血管性血友病因子抗原(VWFAg)评估内皮功能障碍,使用流式细胞术评估CD14单核细胞微粒和CD11b活化单核细胞来评估单核细胞活化情况。地中海贫血患者的VWF:Ag水平显著更高(P<0.001),且与TE的发生呈正相关(P<0.05)。患者与对照者之间CD14无显著差异(P>0.5),对照者的CD11b更高(P=0.004),且两者与TE发生发展均无显著相关性(P>0.05)。地中海贫血患者的VWF:Ag升高,可作为这些患者发生血栓形成的危险因素,而未发现活化单核细胞在这类患者血栓形成倾向中的作用。

https://cdn.ncbi.nlm.nih.gov/pmc/blobs/7277/7686856/9a1b945870e1/hr-12-2-8365-g001.jpg

文献检索

告别复杂PubMed语法,用中文像聊天一样搜索,搜遍4000万医学文献。AI智能推荐,让科研检索更轻松。

立即免费搜索

文件翻译

保留排版,准确专业,支持PDF/Word/PPT等文件格式,支持 12+语言互译。

免费翻译文档

深度研究

AI帮你快速写综述,25分钟生成高质量综述,智能提取关键信息,辅助科研写作。

立即免费体验